產品目錄
91看片儿免费看
液體流量計
91看片视频免费
油流量計
91看片网站下载
橢圓齒輪流量計
電磁流量計
渦街流量計
蒸汽流量計
孔板流量計
旋進旋渦流量計
熱式氣體質量流量計
轉子流量計
浮子流量計
靶式流量計
氣體流量計
超聲波流量計
磁翻板液位計
浮子液位計
浮球液位計
玻璃管液位計
雷達液位計
超聲波液位計
投入式液位計
壓力變送器
差壓變送器
液位變送器
溫度變送器
熱電偶
熱電阻
雙金屬溫度計
推薦產品
聯係91看片下载免费观看
- 金湖91看片下载免费观看儀表有限公司
- 聯係電話:15195518515
- 在線客服:1464856260
- 電話:0517-86801009
- 傳真號碼:0517-86801007
- 郵箱:1464856260@qq.com
- 網址:http://www.zhongtaijixie.net
- 地址:江蘇省金湖縣理士大道61號
智能型渦輪流量計在航空煤油流量檢定的選型及直管段長度確定
發布時間:2020-12-22 14:19:30 點擊次數:3303次
在分析標準表法液體流量標準裝置基本工作原理的基礎上對裝置結構進行了設計,重點對智能型渦輪流量計的選型以及前後直管段的長度確定,不同溫度下3# 航空煤油的黏度對於直管段要求不同,直管段的合理選擇是智能型渦輪流量計計量準確與否的前提。並確定流量計、溫度變送器、壓力變送器的選型方案,給出了裝置儀表的檢定實驗結果。並且通過現場試驗來驗證裝置的可行性,為標準表法流量標準裝置的實施與推廣提供依據。
引言
標準裝置按計量器具可分為稱重法、容積法和標準表法。其中標準表法是利用流體力學連續性原理將標準表和被檢表串聯連接,用標準表和相關的溫度、壓力等儀表給出標準累積流量,然後與被檢表的累積流量比較,確定被檢表的技術指標。標準表法流量標準裝置相對其他標準裝置有結構簡單、工作效率高、操作簡單等突出優點,特別是可以給出更寬的流量範圍。
標準法液體流量標準裝置中*重要的儀器就是標準表,本裝置中選用智能型渦輪流量計做為標準表。自20 世紀50 年代末起,國內外學者對智能型渦輪流量計的性能影響做了大量的實驗,並先後提出了智能型渦輪流量計的理論模型,其中以Thompson[3] 提出的模型*具代表性。吳國玢等在Thompson 模型的基礎上理論預了黏度對智能型渦輪流量計性能的影響。國內外對於流量儀表檢定裝置開展了深入研究。Roger C.Baker等基於容積法設計了電子校準係統,雖然其準確度能滿足,但仍屬於傳統的容積校準法,並且存在較大的噪聲,對於大流量的航空煤油校準裝置並不適用。關於智能型渦輪流量計的校準裝置,Grady H.Stevens采用壓差式流量計校準智能型渦輪流量計,同時對流體添加正弦擾動,通過一段直管段運行平穩後進入差壓式流量計,進而得出不同的流量值進行比較。這種校準方法可以認為是標準表法的一種,其重複性強,比較實用,但其準確度不高,對於高準確度要求的航空煤油流量裝置的檢定無法滿足要求。國內外關於校準裝置的研究主要集中在傳統的質量法和體積法。傳統的校驗方法無法滿足對高準確度儀表的檢定。對此,有國內學者實現了突破,采用標準體積管法,能實現對測量準確度的要求,但其測量範圍較小,並且沒有對標準裝置的動態性能做出研究。流量計量經過長期的發展,已經應用在各個領域。智能型渦輪流量計因具有準確度高、響應快、測量範圍寬等優點,國內外學者對其開展了大量的實驗及仿真研究,深入了解它的特性,創造更高準確度的智能型渦輪流量計來作為標準裝置的標準表來檢定待測流量計。由於黏度對智能型渦輪流量計性能的影響較大,智能型渦輪流量計作為標準表大多應用於氣體流量的計量,對於低黏度的液體計量,智能型渦輪流量計同樣有著較高的準確度。本裝置就是運用智能型渦輪流量計作為標準表的標準裝置對3# 航空煤油進行流量計量。
1 智能型渦輪流量計測量模型
智能型渦輪流量計是一種速度式流量儀表,它以動量守恒原理為基礎。流體衝擊葉輪,使葉輪旋轉,葉輪的旋轉速度隨流量的變化而變化,根據葉輪轉速求出流量值。根據二元流動模型,從流體力學基礎理論出發,運用二元邊界層理論和葉柵理論提出渦輪流量黏性摩擦阻力矩和驅動力矩的理論模型:


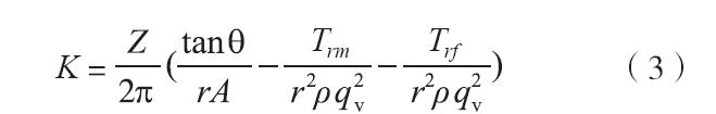
式中,智能型渦輪流量計在理想的工作狀態下,智能型渦輪流量計的儀表係數K 是常數,其物理意義就是單位體積qv 的脈衝數f,如式(1)所示。但實際工作中智能型渦輪流量計的工作狀態並非理想的工作狀態,被測流體通過葉輪時會產生以下幾種力矩:進入智能型渦輪流量計的流體對渦輪葉片產生的推動力矩Tr,由於葉輪軸與軸承摩擦而產生的機械阻力矩Trm,被測流體通過智能型渦輪流量計葉輪時對葉輪產生的流動阻力距Trf,智能型渦輪流量計中電磁轉換器對智能型渦輪流量計葉輪產生的電磁力矩Tre。根據牛頓運動定律,可以推算出如式(2)的智能型渦輪流量計葉輪的運動方程。根據智能型渦輪流量計葉輪進出口速度三角形分析計算,可得出如式(3)的智能型渦輪流量計的測量模型,其中Z 為葉輪流量計的葉片數, 為渦輪葉片的結構角。以上是智能型渦輪流量計的測量模型,可以定性地描述智能型渦輪流量計的基本特性。
2 裝置的結構設計與分析
2.1 標準表法流量標準裝置的結構設計根據加油機的計量檢定規程,加油機流量計需要定期去檢定部門檢定儀表的準確度,檢定過程中儀表的運輸需要耗費很長的時間、精力以及財力。本裝置設計的初衷是為計量檢定部門製造出便於攜帶、可移動的標準裝置,為計量檢定人員對機場加油機流量檢定時節省一定的時間和精力。標準表裝置的出現可以大大節約檢定所需要的時間成本。根據檢定現場的需求,標準裝置的長度不能大於1.5 m。標準裝置中標準表選用的是高準確度的智能型渦輪流量計。
智能型渦輪流量計計量準確的前提是在渦輪流量的前後端要保持足夠的直管段,直管段是被測流體進入智能型渦輪流量計之前流動狀態穩定均勻的前置裝置。
如圖1 所示,標準裝置由過濾器、整流器、壓力變送器、前直管段、智能型渦輪流量計、後直管段、溫度變送器、球閥組成。基於現場條件對裝置的要求,標準裝置長度有限,故需加彎管,在經過過濾器的彎管和直管段之間加有整流器,其目的是讓流體在有限的直管段中更穩定,從而保證測量準確度。飛機加油機流量出口接頭為HJS-63A 航空壓力加油接頭,通過加油軟管與標準裝置入口HDF63 型航空輸油接頭閥連接。進口流體依次通過過濾器、整流器、智能型渦輪流量計、球閥後,用HJS-63A 航空壓力加油接頭與加油機回油管路HDF63 型航空輸油接頭閥連接。
圖2 是裝置的電氣連接原理圖,智能型渦輪流量計的脈衝信號、溫度變送器和壓力變送器的信號連接至流量積算儀,通過RS485-USB 接頭,各個信號連接至筆記本電腦進行采集和計算,各用電器的電源均由UPS 電源提供。

圖1 標準裝置原理圖
標準表法流量儀表檢定係統軟件(圖3)可以根據被測流體以及儀表的物性條件進行設置,可以采集脈衝數、溫度、壓力、時間、瞬時及累積流量等數據。標定結束後,采集的標準表累積流量和輸入被測表的累計流量進行比對計算。

圖3標準表法流量儀表檢定係統軟件界麵2.2 標準表法流量標準裝置的可行性分析液體流量的計量方法主要可以分為標準容器法和標準表法。標準容器法:標準容器校驗液體流量又可以分為兩種,即動態校驗法和靜態校驗法。動態校驗法是讓被測流體按照一定的流量流入標準容器,按照一定的時間讀出標準容器液麵的上升量,或者讀出液麵上升一定高度所需要的時間。靜態校驗法是讓一定量體積的流體進入標準容器,測定從開始到結束所需要的時間。標準容器法有較高的計量準確度,然而在標定大流量時,製造大型精密的
標準容器比較困難。另外,加油機流量比較大,進入標準容器時航空煤油會混入空氣影響計量準確度。標準表法是用準確度更高的儀表作為標準儀表對其他流量計進行校準,用作高準確度流量計有容積式、渦輪式、電磁式和差壓式等形式。標準裝置選用的是高準確度的智能型渦輪流量計。


根據智能型渦輪流量計檢定規程,裝置的擴展不確定度應不大於流量計*大允許誤差的1/3。由於加油機儀表準確度等級為0.2 級,其*大允許誤差應為±0.2%,作為標準表標準裝置儀表的*大允許誤差應為±0.067%。本標準裝置中智能型渦輪流量計的出廠參數為儀表的*大誤差即0.125%,儀表的重複性為0.02%。單從儀表的*大允許誤差方麵考慮,儀表不能滿足作為標準表檢定的準確度。但對加油機標定,是定點標定。根據定點標定的原理,儀表的重複性
可以作為準確度等級去校準加油機的流量計。根據流量檢定裝置的要求,流量標準裝置及其
配套儀表均應具有有效的檢定**。智能型渦輪流量計;校準用流體:RP-3 航空煤油校準用流體溫度24.3 ℃;流量範圍:71.967~89.849 m3/h。由表2 智能型渦輪流量計檢定結果顯示,儀表係數的不確定度為0.06%,而加油機儀表準確度等級為0.2級,根據智能型渦輪流量計計量檢定規程,裝置的擴展確定度不大於流量計*大允許誤差的1/3。表3、表4顯示溫度變送器和壓力變送器的擴展不確定度滿足相應的計量檢定規程。由此可得出結論,本裝置可以作為流量標準裝置檢定航空煤油的流量。對於溫度壓力的測量,根據要求,溫度測量不確定度所引起的流量測量不確定度應不超過標準裝置擴展不確定度的1/5,壓力測量不確定度所引起的流量測量不確定度應不超過標準裝置擴展不確定度的1/5。
表2 智能型渦輪流量計校準結果
3 裝置的不確定度分析
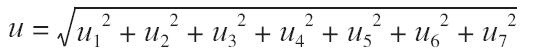
根據標準表法流量標準裝置的不確定度要求,對裝置不確定度進行分析,標準裝置合成不確定度測量模型為

式中:u1 —— 標準流量計定點使用時A 類不確定度;
u2 —— 計時器的A 類標準不確定度;
u3 —— 計時器的B 類標準不確定度;
u4 —— 標準流量計不帶配套儀表一起檢定時
引起的流量測量不確定度,帶配套儀表的標準流量計應帶配套儀表一起檢定,否則應考慮配套儀表的不確定度;
u5 —— 標準流量計檢定和使用的流體條件不同引起的流量測量不確定度;
u6 —— 數據采集、信號處理、數據處理及通信不確定度引起的流量測量不確定度;
u7 —— 檢定標準流量計的流量標準裝置的合成不確定度
其中,本裝置中流量積算儀采用XMFL-7 標準流量積算儀,有較高的分辨力。對於瞬時量在流量處於100~1 000 L/min 時,分辨力為百分之一(即0.01)個單位,對脈衝為0.01 Hz。對於累積流量在10~10 000 L 時,分辨力為千分之一(即0.001)個單位,對時間為1 ms。其計時器誤差可以忽略不計,即u2= u3 = 0。標準流量計為智能型渦輪流量計,其傳感器與配套轉換器為一體,檢定時是一起檢定的,則u4 = 0。標準流量計檢定和使用的流體都是3# 航空煤油,故u5 = 0。標準流量計儀表係數的重複性為0.02%,按規程可忽略不計,即u6 = 0。對於標準流量計測量A 類不確定度u1 的計算,

4 結語
重點對裝置直管段的長度進行選擇,確保不同黏度下3# 航空煤油在進入智能型渦輪流量計之前均有穩定的均勻的流動狀態。對裝置整體的不確定度分配進行計算,確定了標準表、溫度變送器、壓力變送器的選擇方案。本裝置的研製,大大縮短了機場加油機儀表標定的時間。裝置體積小、結構簡單、操作方便。本裝置的研究有利於標準裝置的普及,對流量計的研發以及生產具有重要意義。
引言
標準裝置按計量器具可分為稱重法、容積法和標準表法。其中標準表法是利用流體力學連續性原理將標準表和被檢表串聯連接,用標準表和相關的溫度、壓力等儀表給出標準累積流量,然後與被檢表的累積流量比較,確定被檢表的技術指標。標準表法流量標準裝置相對其他標準裝置有結構簡單、工作效率高、操作簡單等突出優點,特別是可以給出更寬的流量範圍。
標準法液體流量標準裝置中*重要的儀器就是標準表,本裝置中選用智能型渦輪流量計做為標準表。自20 世紀50 年代末起,國內外學者對智能型渦輪流量計的性能影響做了大量的實驗,並先後提出了智能型渦輪流量計的理論模型,其中以Thompson[3] 提出的模型*具代表性。吳國玢等在Thompson 模型的基礎上理論預了黏度對智能型渦輪流量計性能的影響。國內外對於流量儀表檢定裝置開展了深入研究。Roger C.Baker等基於容積法設計了電子校準係統,雖然其準確度能滿足,但仍屬於傳統的容積校準法,並且存在較大的噪聲,對於大流量的航空煤油校準裝置並不適用。關於智能型渦輪流量計的校準裝置,Grady H.Stevens采用壓差式流量計校準智能型渦輪流量計,同時對流體添加正弦擾動,通過一段直管段運行平穩後進入差壓式流量計,進而得出不同的流量值進行比較。這種校準方法可以認為是標準表法的一種,其重複性強,比較實用,但其準確度不高,對於高準確度要求的航空煤油流量裝置的檢定無法滿足要求。國內外關於校準裝置的研究主要集中在傳統的質量法和體積法。傳統的校驗方法無法滿足對高準確度儀表的檢定。對此,有國內學者實現了突破,采用標準體積管法,能實現對測量準確度的要求,但其測量範圍較小,並且沒有對標準裝置的動態性能做出研究。流量計量經過長期的發展,已經應用在各個領域。智能型渦輪流量計因具有準確度高、響應快、測量範圍寬等優點,國內外學者對其開展了大量的實驗及仿真研究,深入了解它的特性,創造更高準確度的智能型渦輪流量計來作為標準裝置的標準表來檢定待測流量計。由於黏度對智能型渦輪流量計性能的影響較大,智能型渦輪流量計作為標準表大多應用於氣體流量的計量,對於低黏度的液體計量,智能型渦輪流量計同樣有著較高的準確度。本裝置就是運用智能型渦輪流量計作為標準表的標準裝置對3# 航空煤油進行流量計量。
1 智能型渦輪流量計測量模型
智能型渦輪流量計是一種速度式流量儀表,它以動量守恒原理為基礎。流體衝擊葉輪,使葉輪旋轉,葉輪的旋轉速度隨流量的變化而變化,根據葉輪轉速求出流量值。根據二元流動模型,從流體力學基礎理論出發,運用二元邊界層理論和葉柵理論提出渦輪流量黏性摩擦阻力矩和驅動力矩的理論模型:


式中,智能型渦輪流量計在理想的工作狀態下,智能型渦輪流量計的儀表係數K 是常數,其物理意義就是單位體積qv 的脈衝數f,如式(1)所示。但實際工作中智能型渦輪流量計的工作狀態並非理想的工作狀態,被測流體通過葉輪時會產生以下幾種力矩:進入智能型渦輪流量計的流體對渦輪葉片產生的推動力矩Tr,由於葉輪軸與軸承摩擦而產生的機械阻力矩Trm,被測流體通過智能型渦輪流量計葉輪時對葉輪產生的流動阻力距Trf,智能型渦輪流量計中電磁轉換器對智能型渦輪流量計葉輪產生的電磁力矩Tre。根據牛頓運動定律,可以推算出如式(2)的智能型渦輪流量計葉輪的運動方程。根據智能型渦輪流量計葉輪進出口速度三角形分析計算,可得出如式(3)的智能型渦輪流量計的測量模型,其中Z 為葉輪流量計的葉片數, 為渦輪葉片的結構角。以上是智能型渦輪流量計的測量模型,可以定性地描述智能型渦輪流量計的基本特性。
2 裝置的結構設計與分析
2.1 標準表法流量標準裝置的結構設計根據加油機的計量檢定規程,加油機流量計需要定期去檢定部門檢定儀表的準確度,檢定過程中儀表的運輸需要耗費很長的時間、精力以及財力。本裝置設計的初衷是為計量檢定部門製造出便於攜帶、可移動的標準裝置,為計量檢定人員對機場加油機流量檢定時節省一定的時間和精力。標準表裝置的出現可以大大節約檢定所需要的時間成本。根據檢定現場的需求,標準裝置的長度不能大於1.5 m。標準裝置中標準表選用的是高準確度的智能型渦輪流量計。
智能型渦輪流量計計量準確的前提是在渦輪流量的前後端要保持足夠的直管段,直管段是被測流體進入智能型渦輪流量計之前流動狀態穩定均勻的前置裝置。
如圖1 所示,標準裝置由過濾器、整流器、壓力變送器、前直管段、智能型渦輪流量計、後直管段、溫度變送器、球閥組成。基於現場條件對裝置的要求,標準裝置長度有限,故需加彎管,在經過過濾器的彎管和直管段之間加有整流器,其目的是讓流體在有限的直管段中更穩定,從而保證測量準確度。飛機加油機流量出口接頭為HJS-63A 航空壓力加油接頭,通過加油軟管與標準裝置入口HDF63 型航空輸油接頭閥連接。進口流體依次通過過濾器、整流器、智能型渦輪流量計、球閥後,用HJS-63A 航空壓力加油接頭與加油機回油管路HDF63 型航空輸油接頭閥連接。
圖2 是裝置的電氣連接原理圖,智能型渦輪流量計的脈衝信號、溫度變送器和壓力變送器的信號連接至流量積算儀,通過RS485-USB 接頭,各個信號連接至筆記本電腦進行采集和計算,各用電器的電源均由UPS 電源提供。

圖1 標準裝置原理圖
標準表法流量儀表檢定係統軟件(圖3)可以根據被測流體以及儀表的物性條件進行設置,可以采集脈衝數、溫度、壓力、時間、瞬時及累積流量等數據。標定結束後,采集的標準表累積流量和輸入被測表的累計流量進行比對計算。

圖3標準表法流量儀表檢定係統軟件界麵2.2 標準表法流量標準裝置的可行性分析液體流量的計量方法主要可以分為標準容器法和標準表法。標準容器法:標準容器校驗液體流量又可以分為兩種,即動態校驗法和靜態校驗法。動態校驗法是讓被測流體按照一定的流量流入標準容器,按照一定的時間讀出標準容器液麵的上升量,或者讀出液麵上升一定高度所需要的時間。靜態校驗法是讓一定量體積的流體進入標準容器,測定從開始到結束所需要的時間。標準容器法有較高的計量準確度,然而在標定大流量時,製造大型精密的
標準容器比較困難。另外,加油機流量比較大,進入標準容器時航空煤油會混入空氣影響計量準確度。標準表法是用準確度更高的儀表作為標準儀表對其他流量計進行校準,用作高準確度流量計有容積式、渦輪式、電磁式和差壓式等形式。標準裝置選用的是高準確度的智能型渦輪流量計。


根據智能型渦輪流量計檢定規程,裝置的擴展不確定度應不大於流量計*大允許誤差的1/3。由於加油機儀表準確度等級為0.2 級,其*大允許誤差應為±0.2%,作為標準表標準裝置儀表的*大允許誤差應為±0.067%。本標準裝置中智能型渦輪流量計的出廠參數為儀表的*大誤差即0.125%,儀表的重複性為0.02%。單從儀表的*大允許誤差方麵考慮,儀表不能滿足作為標準表檢定的準確度。但對加油機標定,是定點標定。根據定點標定的原理,儀表的重複性
可以作為準確度等級去校準加油機的流量計。根據流量檢定裝置的要求,流量標準裝置及其
配套儀表均應具有有效的檢定**。智能型渦輪流量計;校準用流體:RP-3 航空煤油校準用流體溫度24.3 ℃;流量範圍:71.967~89.849 m3/h。由表2 智能型渦輪流量計檢定結果顯示,儀表係數的不確定度為0.06%,而加油機儀表準確度等級為0.2級,根據智能型渦輪流量計計量檢定規程,裝置的擴展確定度不大於流量計*大允許誤差的1/3。表3、表4顯示溫度變送器和壓力變送器的擴展不確定度滿足相應的計量檢定規程。由此可得出結論,本裝置可以作為流量標準裝置檢定航空煤油的流量。對於溫度壓力的測量,根據要求,溫度測量不確定度所引起的流量測量不確定度應不超過標準裝置擴展不確定度的1/5,壓力測量不確定度所引起的流量測量不確定度應不超過標準裝置擴展不確定度的1/5。
表2 智能型渦輪流量計校準結果
3 裝置的不確定度分析
根據標準表法流量標準裝置的不確定度要求,對裝置不確定度進行分析,標準裝置合成不確定度測量模型為

式中:u1 —— 標準流量計定點使用時A 類不確定度;
u2 —— 計時器的A 類標準不確定度;
u3 —— 計時器的B 類標準不確定度;
u4 —— 標準流量計不帶配套儀表一起檢定時
引起的流量測量不確定度,帶配套儀表的標準流量計應帶配套儀表一起檢定,否則應考慮配套儀表的不確定度;
u5 —— 標準流量計檢定和使用的流體條件不同引起的流量測量不確定度;
u6 —— 數據采集、信號處理、數據處理及通信不確定度引起的流量測量不確定度;
u7 —— 檢定標準流量計的流量標準裝置的合成不確定度
其中,本裝置中流量積算儀采用XMFL-7 標準流量積算儀,有較高的分辨力。對於瞬時量在流量處於100~1 000 L/min 時,分辨力為百分之一(即0.01)個單位,對脈衝為0.01 Hz。對於累積流量在10~10 000 L 時,分辨力為千分之一(即0.001)個單位,對時間為1 ms。其計時器誤差可以忽略不計,即u2= u3 = 0。標準流量計為智能型渦輪流量計,其傳感器與配套轉換器為一體,檢定時是一起檢定的,則u4 = 0。標準流量計檢定和使用的流體都是3# 航空煤油,故u5 = 0。標準流量計儀表係數的重複性為0.02%,按規程可忽略不計,即u6 = 0。對於標準流量計測量A 類不確定度u1 的計算,

4 結語
重點對裝置直管段的長度進行選擇,確保不同黏度下3# 航空煤油在進入智能型渦輪流量計之前均有穩定的均勻的流動狀態。對裝置整體的不確定度分配進行計算,確定了標準表、溫度變送器、壓力變送器的選擇方案。本裝置的研製,大大縮短了機場加油機儀表標定的時間。裝置體積小、結構簡單、操作方便。本裝置的研究有利於標準裝置的普及,對流量計的研發以及生產具有重要意義。
相關資訊
- 智能型渦輪流量計在安裝時需要的注意事項及現場布線要求
- 智能型渦輪流量計常見的四類故障與技巧解決方法
- 關於智能型渦輪流量計接線方式與操作方式及接線方式
- 智能渦輪流量計說明書
- 智能渦輪流量計不顯示流量
- 智能渦輪流量計安裝要求
- 智能型91看片儿免费看的基本原理與結構應用
- 智能渦輪流量計常見故障及排除
- 智能渦輪流量計怎麽調試
- 智能渦輪流量計尺寸
- 智能渦輪流量計量程範圍
- 智能渦輪流量計使用方法
- 智能型渦輪流量計的結構原理
- 一種基於HART總線的智能渦輪流量計分析介紹
- 智能型渦輪流量計在航空煤油流量檢定的選型及直管段長度確定
- 液體智能渦輪流量計價格,脈衝渦輪流量計
- 智能渦輪流量計價格
- 智能91看片儿免费看,91看片儿免费看廠家價格
- 智能91看片儿免费看的傳感器保養措施及內部部件的維護
- 關於智能渦輪流量計的選型要求與標準
- 智能型渦輪流量計
- 智能型91看片儿免费看
- 液體智能渦輪流量計
- 智能91看片儿免费看
- 智能渦輪流量計廠家,數顯渦輪流量計
- 智能91看片儿免费看,脈衝輸出渦輪流量計
- 智能型渦輪流量計,高溫渦輪流量計
- 智能型91看片儿免费看,91看片儿免费看價格
- 智能渦輪流量計廠家,脈衝輸出渦輪流量計
- 智能渦輪流量計廠家,分體式渦輪流量計

