產品目錄
91看片儿免费看
液體流量計
91看片视频免费
油流量計
91看片网站下载
橢圓齒輪流量計
電磁流量計
渦街流量計
蒸汽流量計
孔板流量計
旋進旋渦流量計
熱式氣體質量流量計
轉子流量計
浮子流量計
靶式流量計
氣體流量計
超聲波流量計
磁翻板液位計
浮子液位計
浮球液位計
玻璃管液位計
雷達液位計
超聲波液位計
投入式液位計
壓力變送器
差壓變送器
液位變送器
溫度變送器
熱電偶
熱電阻
雙金屬溫度計
推薦產品
聯係91看片下载免费观看
- 金湖91看片下载免费观看儀表有限公司
- 聯係電話:15195518515
- 在線客服:1464856260
- 電話:0517-86801009
- 傳真號碼:0517-86801007
- 郵箱:1464856260@qq.com
- 網址:http://www.zhongtaijixie.net
- 地址:江蘇省金湖縣理士大道61號
液體流量計校驗方法
發布時間:2021-05-24 01:08:08 點擊次數:2472次
摘要:主要討論了采用比對法對液體流量計進行在線校準的過程,分析其在現場使用時,受工作條件、環境變化而產生的誤差因素的影響,經過不確定度的分析和現場實驗數據的驗證,達到滿足現場使用的要求。
在石油、化工、水電等工礦部門,對液態流體流量的檢測已成為貿易交接和工業生產中不可缺少的重要組成部分。而各種檢測流量的電磁、渦輪、差壓、容積和質量等流量計都需要將其傳感器安裝在管內,不僅不便於拆卸,而且有的受工況(無法停車)和流體性質(有毒、有腐蝕性、易爆及帶放射性)的影響根本無法拆卸。因此,如何對越來越多的大管徑、大流量的液體流量計進行在線校準,成為一個意義重大亟待解決的問題。
1 校準方法
1.1 校準條件
一般情況下,超聲波換能器的安裝位置應滿足標準管段上遊直管段不小於15倍管徑長度,下遊直管段不小於10倍管徑長度。對水泵、半開閥門等嚴重擾流件,應保證前後各30倍管徑長度直管段。電磁流量計本體可視為直管段。標準管段及流量計傳感器法蘭密封墊不能阻礙流體。
環境溫度、大氣相對濕度、大氣壓力應符合使用要求,外界磁場、機械振動應小到對流量計影響可忽略不計的程度。管道中應充滿水且不含有氣泡。
對於200mm以下(含200mm)管道,校準前應對超聲波流量計進行零點檢驗設定。
1.2 校準操作
1.2.1 被檢流量計工作狀態檢查
根據流量計使用說明書要求,檢查確定流量計是否正常工作。根據流量計檢定**或出廠校驗單,檢查轉換器中影響計量準確度關鍵參數的輸入是否正確。具備停流條件的管道,檢查流量計的零點流量。
1.2.2 超聲波流量計的安裝
超聲波流量計串聯安裝在流量計上遊側或下遊側。用量具分別在換能器安裝位置附近的同一截麵上大致等角分布測量n次外直徑,或測量n次外周長推算出外直徑,其平均值D按式(1)計算。

式(1)中:n—測量次數,n≥4;
Di—*i點測得的管道外直徑或推算出的外直徑。
在換能器安裝位置均布5個點,使用測厚儀測量管道壁厚,並取其平均值.對無法測量的參數,如管道材質、襯裏材料、厚度等,根據現場技術資料查明並確認。將以上管道參數輸入標準表內,得出換能器安裝距離L。在標準管段上劃線定位,以便準確地安裝。也可用坐標紙剪成寬為L的長條,圍在管壁上,使紙長等於周長,然後對折,定出換能器的位置。也可參照使用說明書推薦的方法執行。
清理已定安裝位置附近的管壁(比換能器約大一倍的麵積),將管壁上的油漆、鐵鏽、汙垢等清除幹淨,露出金屬。在換能器表麵均勻塗以耦合劑,將換能器上標誌對準安裝位置,使其發射麵與管壁緊密接觸.用緊固件將換能器固定在管道上。將換能器信號傳輸電纜連接到轉換器上。按要求將信號調試到*佳狀態。
1.2.3 流量計計量性能校準
1.2.3.1 示值誤差
根據現場實際情況確定校準流量點,每個流量點校準3次。現場無法調節流量時可以采用在不同的時段進行校準。流量點一般選則1~3個。
每次校準時,同時讀取並記錄流量計和標準表的示值。若讀取的數值為瞬時值,則至少讀取20個數值,取其平均值;若讀取的數值為累積值,則應保證大於*小讀數的1000倍或讀取至少20min的累積值。
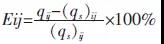
流量計每個流量點每次校準的相對示值誤差按式(2)計算。

式(2)中:qij——*i流量點*j次校準時的流量計示值(瞬時值或累積值);
(qs)ij——*i流量點*j次校準時的標準表示值(瞬時值或累積值)。
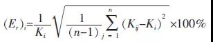
1.2.3.2 重複性

式(3)中:n——*i流量點的校準次數,n≥3;
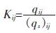
Ki——按類同式(1)計算;
Kij——按式(4)計算。

2 不確定度分析
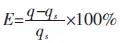
2.1 數學模型:

式(5)中:q——被校流量計示值(瞬時值或累積值);
qs——標準流量計示值(瞬時值或累積值)。

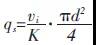
式(6)中:vi——聲道上線平均流速;
K——流速分布修正係數;
d——管道內徑。
2.2 各不確定度分量:
標準表示值qs的不確定度

測量管徑d的不確定度

(管徑測量誤差為δ,按矩形分布考慮)。
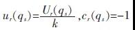
重複性Er的不確定度ur(Er),將各流量點中重複性*大值代入,cr(Er)=1。
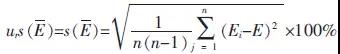
平均示值誤差E圖片不確定度:

式中:Ei—*i流量點的平均示值誤差;
E—所有流量點的平均示值誤差。
靈敏係數

由於溫度、壓力和直管段等影響相對較小,忽略其不確定度的影響。
2.3 合成標準不確定度及擴展不確定度:
合成標準不確定度ucr按下式計算。

擴展不確定度Ur=k·ucr,k=2.
3 比較和結論
近幾年來,通過一係列的現場試驗,利用上述方法對液體流量計進行在線的校準,取得了比較可信的結果。表1顯示了對不同口徑規格的電磁流量計進行在線校準的示值誤差結果和實驗室標準裝置上檢定結果的比較情況:

通過上述數據的對比,91看片下载免费观看可以得出以下結論:對同**量計,在線校準和實驗室檢定得到的誤差結果符號完全一致,說明兩種測量方法的結果是一致的;兩種測量結果的*大差值也在1%左右以內,符合不確定度評定的要求,完全能夠滿足現場使用對液體流量計誤差的需要。

