產品目錄
91看片儿免费看
液體流量計
91看片视频免费
油流量計
91看片网站下载
橢圓齒輪流量計
電磁流量計
渦街流量計
蒸汽流量計
孔板流量計
旋進旋渦流量計
熱式氣體質量流量計
轉子流量計
浮子流量計
靶式流量計
氣體流量計
超聲波流量計
磁翻板液位計
浮子液位計
浮球液位計
玻璃管液位計
雷達液位計
超聲波液位計
投入式液位計
壓力變送器
差壓變送器
液位變送器
溫度變送器
熱電偶
熱電阻
雙金屬溫度計
推薦產品
聯係91看片下载免费观看
- 金湖91看片下载免费观看儀表有限公司
- 聯係電話:15195518515
- 在線客服:1464856260
- 電話:0517-86801009
- 傳真號碼:0517-86801007
- 郵箱:1464856260@qq.com
- 網址:http://www.zhongtaijixie.net
- 地址:江蘇省金湖縣理士大道61號
智能渦輪流量計變粘度流量計算與校準
發布時間:2020-12-22 09:27:04 點擊次數:1875次
摘要:為探索智能渦輪流量計在變粘度工況下的流量計算和校準方法,研究中利用變溫航空潤滑油流量標準裝置對10支智能渦輪流量計在多個粘度點下進行校準試驗,對各粘度下流量計儀表係數進行數據分析。以智能渦輪流量計理論模型為基礎,提出以雙指數衰減函數對儀表係數進行擬合計算的方法,各流量計擬合曲線的r2值都優於0.99,且各粘度點流量測量結果誤差都小於1%。研究中進一步提出通過關鍵點雷諾數確定流量選點的校準方法,關鍵點擬合結果與全數據擬合結果兩者差別基本都小±0.33%。建議對變粘度工況智能渦輪流量計流量計算和校準方法進行深入試驗研究,進一步驗證上述方法可行性。
引言
智能渦輪流量計具有重複性好、量程範圍寬、適應性強、精度高、體積小等特點,被廣泛應用於多種領域,包括流量試驗、石油計量和工業生產過程控製。工業生產中潤滑油、液壓油等介質粘度一般隨係統溫度變化較大[1-2],由於智能渦輪流量計其對介質粘度較敏感,直接使用實驗室校準結果無法滿足變粘度工況流量測量要求。例如在航空發動機研製試驗中,智能渦輪流量計用於航空潤滑油的測量,在20℃~100℃範圍內,航空潤滑油粘度可由幾十厘斯降低至幾厘斯,甚至變化範圍更大。智能渦輪流量計用於航空潤滑油流量測量時,由於試驗中工作介質溫度變化,使用條件偏離實驗室校準條件較大,校準結果直接應用於發動機滑油流量測量將導致較大誤差[3-8]。
以航空潤滑油流量標準裝置為試驗平台,對十支智能渦輪流量計在不同粘度點進行校準試驗,對儀表係數隨粘度和流量變化關係進行分析。研究發現通過雙指數衰減函數對儀表係數(K)和頻率與粘度之商(f/υ)進行曲線擬合可有效降低測量誤差,建議通過關鍵點雷諾數間接確定校準流量點,在保證擬合曲線有效性的前提下減少校準工作量。
1 試驗設備
1.1 標準裝置
圖1是航空潤滑油流量校準裝置示意圖。裝置采用伺服電機驅動標準計量油缸的結構形式,主要由計量油缸、電機及控製器、滾珠絲杠、直線導軌、校準管路、切換閥門、油箱、控溫機組、溫度壓力傳感器、精密光柵尺、數據采集係統、控製計算機等部件構成。裝置采用伺服電機驅動標準計量油缸產生標準流量源,計量油缸同時作為容積標準,與光柵配合構成流量測量係統。校準裝置通過調節控製介質溫度而改變介質粘度。標準裝置技術指標為:流量範圍:0.5~160L/min;擴展不確定度:0.05%(k=2);溫度範圍:20~120℃。

1.2 被試流量計
試驗用流量計是智能渦輪流量計,CL-10和CL-15各5支,流量計信息見表1。

2 校準試驗結果
研究利用航空潤滑油流量標準裝置在20,30,40,50,60,80℃對10支智能渦輪流量計進行校準試驗。CL-10型流量計校準流量點分別為6,17,28,39,50L/min;CL-15型流量計校準流量點分別為12,24,36,48,60L/min。圖2是1748和1660兩支智能渦輪流量計在各粘度點儀表係數隨流量變化曲線。

由圖2可知,不同粘度點下流量計儀表係數差異很大,圖3是10支流量計各流量點儀表係數誤差曲線。儀表係數差異通過式(1)計算。結果顯示,在低流量點儀表係數*大相差18%以上,在高流量點儀表係數*小相差約1%。

式中:Kν?max——某流量點*大粘度下儀表係數,L–1;
Kν?min——某流量點*小粘度下儀表係數,L–1。

3 流量計算和校準方法研究
3.1 智能渦輪流量計數學模型
3.1.1 層流狀態
層流狀態下智能渦輪流量計儀表係數數學模型[9]為

式中:
Z——渦輪葉片數;
θ——葉片結構角;
r——渦輪葉片平均半徑;
A——流通麵積;
ρ——介質密度;
qv——體積流量;
η——介質動力粘度;
C1——層流狀態下阻力矩常數。
層流狀態下,智能渦輪流量計儀表係數隨qv/η增大而迅速增大,可見儀表係數對介質粘度非常敏感。
3.1.2 紊流狀態
紊流狀態下智能渦輪流量計儀表係數數學模型[9]可通過式(3)表示。

其中C2為紊流狀態下阻力矩常數。
紊流狀態下,儀表係數僅與智能渦輪流量計本身結構參數有關,而與流量和介質粘度等參數無關,可近似為一常數。
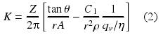
3.2 儀表係數與雷諾數關係
智能渦輪流量計不同溫度點儀表係數K差異很大,其主要原因是溫度改變導致航空潤滑油粘度改變。校準結果中儀表係數隨流量變化曲線未體現滑油粘度對智能渦輪流量計的影響,雷諾數Re可通過式(2)、式(4)計算,可見q,/n基本與Re成正比。

式中:
qv——體積流量;
d——智能渦輪流量計內徑;
ν——滑油運動粘度。
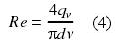
同一支智能渦輪流量計在雷諾數相近的情況下,其對應的儀表係數很接近,儀表係數是雷諾數的單值函數。圖4是智能渦輪流量計儀表係數隨雷諾數關係圖,變化趨勢與雙指數衰減函數一致[10],雙指數衰減函數可由式(5)表示。

圖5是1744和1655兩支智能渦輪流量計Re與K擬合曲線圖。表2是流量計擬合曲線係數。通過r2值對擬合度進行評估,10支智能渦輪流量計擬合優度值處於0.992~0.998之間,擬合結果非常好。


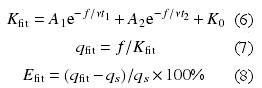
3.3 流量計算方法
儀表係數可用雷諾數的雙指數衰減函數表示,而雷諾數可由平均流速和運動粘度計算得到,所以儀表係數(K)是流量計輸出頻率與運動粘度之商(f /ν)的函數。研究中采用雙指數衰減函數進行擬合,流量可由式(6)和式(7)計算,通過式(8)對計算誤差進行評估。表3是10支智能渦輪流量計流量計算結果。10支流量計擬合計算結果與標準流量*大誤差都小於1%。

式中:
Kfit——擬合儀表係數;
qfit——擬合計算流量;
qs——試驗標準流量。

3.4 校準方法研究
《智能渦輪流量計檢定規程》JJG1037-2008[11]適用於工作中流體介質粘度基本穩定的場合,在變粘度工況下,直接參照該規程進行流量選點實用性較差[12]。智能渦輪流量計工作中粘度範圍較寬,對其在全粘度範圍進行校準可行性同樣受到限製。變粘度工況下,在滿足智能渦輪流量計測量要求的前提應盡量減少校準點數。
利用雙指數衰減函數對儀表係數與雷諾數關係進行擬合,在層流範圍內(Re<2300),儀表係數隨Re增加迅速增加,尤其是在Re<1000範圍內更加明顯;而在Re>3000紊流範圍內,儀表係數變化平緩,接近常數;在10003000的穩定儀表係數。
初步確定校準流量點對應的雷諾數為Remax、5000、3000、2000、1200、800、500、200和Remin。調整校準介質粘度與使用條件盡量接近,其中在Re≥2000範圍,選用低粘度校準介質,校準流量通過式(4)反算得到;同理在Re<2000範圍內,選用高粘度介質,校準流量通過式(4)反算得到。
選取與以上要求的9個關鍵雷諾數相近的流量點數據進行擬合,並與全數據擬合結果進行比較,兩者差別通過式(9)進行評估。圖6是兩種擬合方式差別分布情況。300對數據點中,僅有1點儀表係數差別超過2%,其他各點差別均小於0.5%,而且99%以上的數據點差別小於±0.33%,86%以上的數據點差別小於±0.20%。

式中:
Kfull——全數據擬合儀表係數;
K9——關鍵點擬合儀表係數;
E——擬合差別。

4 結束語
利用航空潤滑油流量標準裝置對10支智能渦輪流量計進行了多個粘度點下實流校準試驗,形成以下結論和建議:
1)智能渦輪流量計儀表係數對流體介質粘度較為敏感,各粘度點儀表係數差異很大,直接利用頻率與儀表係數關係計算流量,將導致校準粘度以外的工況測量誤差較大,在低流量範圍尤其嚴重;
2)智能渦輪流量計儀表係數是雷諾數的單值函數,通過雙指數衰減函數擬合吻合度非常高,擬合優度均在0.99以上;
3)Re與f/v成正比,通過雙指數衰減函數對K和f/v之間關係進行擬合,進而計算流量,該方法流量計算結果與標準流量*大誤差小於±1%;
4)根據雙指數衰減函數擬合關鍵數據點Re確定校準流量點,通過評估關鍵點擬合結果與全數據擬合結果兩者差別,兩者差別基本都小於±0.33%,將關鍵點設定為校準流量點比較合理;
5)建議對變粘度工況智能渦輪流量計流量計算方法和校準選點方法進行進一步試驗研究,擴展被試流量計型號和工作介質*號,豐富和充實基礎試驗數據,深入驗證計算方法和校準方法的適用性。
引言
智能渦輪流量計具有重複性好、量程範圍寬、適應性強、精度高、體積小等特點,被廣泛應用於多種領域,包括流量試驗、石油計量和工業生產過程控製。工業生產中潤滑油、液壓油等介質粘度一般隨係統溫度變化較大[1-2],由於智能渦輪流量計其對介質粘度較敏感,直接使用實驗室校準結果無法滿足變粘度工況流量測量要求。例如在航空發動機研製試驗中,智能渦輪流量計用於航空潤滑油的測量,在20℃~100℃範圍內,航空潤滑油粘度可由幾十厘斯降低至幾厘斯,甚至變化範圍更大。智能渦輪流量計用於航空潤滑油流量測量時,由於試驗中工作介質溫度變化,使用條件偏離實驗室校準條件較大,校準結果直接應用於發動機滑油流量測量將導致較大誤差[3-8]。
以航空潤滑油流量標準裝置為試驗平台,對十支智能渦輪流量計在不同粘度點進行校準試驗,對儀表係數隨粘度和流量變化關係進行分析。研究發現通過雙指數衰減函數對儀表係數(K)和頻率與粘度之商(f/υ)進行曲線擬合可有效降低測量誤差,建議通過關鍵點雷諾數間接確定校準流量點,在保證擬合曲線有效性的前提下減少校準工作量。
1 試驗設備
1.1 標準裝置
圖1是航空潤滑油流量校準裝置示意圖。裝置采用伺服電機驅動標準計量油缸的結構形式,主要由計量油缸、電機及控製器、滾珠絲杠、直線導軌、校準管路、切換閥門、油箱、控溫機組、溫度壓力傳感器、精密光柵尺、數據采集係統、控製計算機等部件構成。裝置采用伺服電機驅動標準計量油缸產生標準流量源,計量油缸同時作為容積標準,與光柵配合構成流量測量係統。校準裝置通過調節控製介質溫度而改變介質粘度。標準裝置技術指標為:流量範圍:0.5~160L/min;擴展不確定度:0.05%(k=2);溫度範圍:20~120℃。

1.2 被試流量計
試驗用流量計是智能渦輪流量計,CL-10和CL-15各5支,流量計信息見表1。

2 校準試驗結果
研究利用航空潤滑油流量標準裝置在20,30,40,50,60,80℃對10支智能渦輪流量計進行校準試驗。CL-10型流量計校準流量點分別為6,17,28,39,50L/min;CL-15型流量計校準流量點分別為12,24,36,48,60L/min。圖2是1748和1660兩支智能渦輪流量計在各粘度點儀表係數隨流量變化曲線。

由圖2可知,不同粘度點下流量計儀表係數差異很大,圖3是10支流量計各流量點儀表係數誤差曲線。儀表係數差異通過式(1)計算。結果顯示,在低流量點儀表係數*大相差18%以上,在高流量點儀表係數*小相差約1%。

式中:Kν?max——某流量點*大粘度下儀表係數,L–1;
Kν?min——某流量點*小粘度下儀表係數,L–1。

3 流量計算和校準方法研究
3.1 智能渦輪流量計數學模型
3.1.1 層流狀態
層流狀態下智能渦輪流量計儀表係數數學模型[9]為

式中:
Z——渦輪葉片數;
θ——葉片結構角;
r——渦輪葉片平均半徑;
A——流通麵積;
ρ——介質密度;
qv——體積流量;
η——介質動力粘度;
C1——層流狀態下阻力矩常數。
層流狀態下,智能渦輪流量計儀表係數隨qv/η增大而迅速增大,可見儀表係數對介質粘度非常敏感。
3.1.2 紊流狀態
紊流狀態下智能渦輪流量計儀表係數數學模型[9]可通過式(3)表示。

其中C2為紊流狀態下阻力矩常數。
紊流狀態下,儀表係數僅與智能渦輪流量計本身結構參數有關,而與流量和介質粘度等參數無關,可近似為一常數。
3.2 儀表係數與雷諾數關係
智能渦輪流量計不同溫度點儀表係數K差異很大,其主要原因是溫度改變導致航空潤滑油粘度改變。校準結果中儀表係數隨流量變化曲線未體現滑油粘度對智能渦輪流量計的影響,雷諾數Re可通過式(2)、式(4)計算,可見q,/n基本與Re成正比。

式中:
qv——體積流量;
d——智能渦輪流量計內徑;
ν——滑油運動粘度。
同一支智能渦輪流量計在雷諾數相近的情況下,其對應的儀表係數很接近,儀表係數是雷諾數的單值函數。圖4是智能渦輪流量計儀表係數隨雷諾數關係圖,變化趨勢與雙指數衰減函數一致[10],雙指數衰減函數可由式(5)表示。

圖5是1744和1655兩支智能渦輪流量計Re與K擬合曲線圖。表2是流量計擬合曲線係數。通過r2值對擬合度進行評估,10支智能渦輪流量計擬合優度值處於0.992~0.998之間,擬合結果非常好。


3.3 流量計算方法
儀表係數可用雷諾數的雙指數衰減函數表示,而雷諾數可由平均流速和運動粘度計算得到,所以儀表係數(K)是流量計輸出頻率與運動粘度之商(f /ν)的函數。研究中采用雙指數衰減函數進行擬合,流量可由式(6)和式(7)計算,通過式(8)對計算誤差進行評估。表3是10支智能渦輪流量計流量計算結果。10支流量計擬合計算結果與標準流量*大誤差都小於1%。

式中:
Kfit——擬合儀表係數;
qfit——擬合計算流量;
qs——試驗標準流量。

3.4 校準方法研究
《智能渦輪流量計檢定規程》JJG1037-2008[11]適用於工作中流體介質粘度基本穩定的場合,在變粘度工況下,直接參照該規程進行流量選點實用性較差[12]。智能渦輪流量計工作中粘度範圍較寬,對其在全粘度範圍進行校準可行性同樣受到限製。變粘度工況下,在滿足智能渦輪流量計測量要求的前提應盡量減少校準點數。
利用雙指數衰減函數對儀表係數與雷諾數關係進行擬合,在層流範圍內(Re<2300),儀表係數隨Re增加迅速增加,尤其是在Re<1000範圍內更加明顯;而在Re>3000紊流範圍內,儀表係數變化平緩,接近常數;在1000
初步確定校準流量點對應的雷諾數為Remax、5000、3000、2000、1200、800、500、200和Remin。調整校準介質粘度與使用條件盡量接近,其中在Re≥2000範圍,選用低粘度校準介質,校準流量通過式(4)反算得到;同理在Re<2000範圍內,選用高粘度介質,校準流量通過式(4)反算得到。
選取與以上要求的9個關鍵雷諾數相近的流量點數據進行擬合,並與全數據擬合結果進行比較,兩者差別通過式(9)進行評估。圖6是兩種擬合方式差別分布情況。300對數據點中,僅有1點儀表係數差別超過2%,其他各點差別均小於0.5%,而且99%以上的數據點差別小於±0.33%,86%以上的數據點差別小於±0.20%。

式中:
Kfull——全數據擬合儀表係數;
K9——關鍵點擬合儀表係數;
E——擬合差別。

4 結束語
利用航空潤滑油流量標準裝置對10支智能渦輪流量計進行了多個粘度點下實流校準試驗,形成以下結論和建議:
1)智能渦輪流量計儀表係數對流體介質粘度較為敏感,各粘度點儀表係數差異很大,直接利用頻率與儀表係數關係計算流量,將導致校準粘度以外的工況測量誤差較大,在低流量範圍尤其嚴重;
2)智能渦輪流量計儀表係數是雷諾數的單值函數,通過雙指數衰減函數擬合吻合度非常高,擬合優度均在0.99以上;
3)Re與f/v成正比,通過雙指數衰減函數對K和f/v之間關係進行擬合,進而計算流量,該方法流量計算結果與標準流量*大誤差小於±1%;
4)根據雙指數衰減函數擬合關鍵數據點Re確定校準流量點,通過評估關鍵點擬合結果與全數據擬合結果兩者差別,兩者差別基本都小於±0.33%,將關鍵點設定為校準流量點比較合理;
5)建議對變粘度工況智能渦輪流量計流量計算方法和校準選點方法進行進一步試驗研究,擴展被試流量計型號和工作介質*號,豐富和充實基礎試驗數據,深入驗證計算方法和校準方法的適用性。
相關資訊
- 智能型渦輪流量計在安裝時需要的注意事項及現場布線要求
- 智能型渦輪流量計常見的四類故障與技巧解決方法
- 關於智能型渦輪流量計接線方式與操作方式及接線方式
- 智能渦輪流量計說明書
- 智能渦輪流量計不顯示流量
- 智能渦輪流量計安裝要求
- 智能型91看片儿免费看的基本原理與結構應用
- 智能渦輪流量計常見故障及排除
- 智能渦輪流量計怎麽調試
- 智能渦輪流量計尺寸
- 智能渦輪流量計量程範圍
- 智能渦輪流量計使用方法
- 智能型渦輪流量計的結構原理
- 一種基於HART總線的智能渦輪流量計分析介紹
- 智能型渦輪流量計在航空煤油流量檢定的選型及直管段長度確定
- 液體智能渦輪流量計價格,脈衝渦輪流量計
- 智能渦輪流量計價格
- 智能91看片儿免费看,91看片儿免费看廠家價格
- 智能91看片儿免费看的傳感器保養措施及內部部件的維護
- 關於智能渦輪流量計的選型要求與標準
- 智能型渦輪流量計
- 智能型91看片儿免费看
- 液體智能渦輪流量計
- 智能91看片儿免费看
- 智能渦輪流量計廠家,數顯渦輪流量計
- 智能91看片儿免费看,脈衝輸出渦輪流量計
- 智能型渦輪流量計,高溫渦輪流量計
- 智能型91看片儿免费看,91看片儿免费看價格
- 智能渦輪流量計廠家,脈衝輸出渦輪流量計
- 智能渦輪流量計廠家,分體式渦輪流量計

