產品目錄
91看片儿免费看
液體流量計
91看片视频免费
油流量計
91看片网站下载
橢圓齒輪流量計
電磁流量計
渦街流量計
蒸汽流量計
孔板流量計
旋進旋渦流量計
熱式氣體質量流量計
轉子流量計
浮子流量計
靶式流量計
氣體流量計
超聲波流量計
磁翻板液位計
浮子液位計
浮球液位計
玻璃管液位計
雷達液位計
超聲波液位計
投入式液位計
壓力變送器
差壓變送器
液位變送器
溫度變送器
熱電偶
熱電阻
雙金屬溫度計
推薦產品
聯係91看片下载免费观看
- 金湖91看片下载免费观看儀表有限公司
- 聯係電話:15195518515
- 在線客服:1464856260
- 電話:0517-86801009
- 傳真號碼:0517-86801007
- 郵箱:1464856260@qq.com
- 網址:http://www.zhongtaijixie.net
- 地址:江蘇省金湖縣理士大道61號
91看片网站下载在化工和天然氣領域的應用
發布時間:2021-03-10 06:46:05 點擊次數:2062次
在天然氣的采集、處理、儲存、運輸和分配過程中,需要數以百萬計的流量計,它既是天然氣供需雙方貿易結算的依據,也是生產部門用氣效率的主要技術指標,因此對流量計測量準確度和可靠性有很高的要求。91看片网站下载屬於速度式流量計,是應用於燃氣貿易計量的三大流量儀表之一。由於具有重複性好、量程範圍寬、適應性強、精度高、對流量變化反應靈敏、輸出脈衝信號、複現性好和體積小等特點,91看片网站下载近年來已在石油、化工和天然氣等領域獲得廣泛的應用。
隨著天然氣用渦輪流量計在管道計量領域的廣泛使用,天然氣管道輸送過程中的能耗成為不容忽視的問題,而天然氣管道輸送過程中的壓力損失是產生能源消耗的主要原因之一。為保證天然氣能順利輸送至用戶端,就需要提高各壓氣站的輸送壓力並盡量減少管道輸送過程中的壓力損失,而各級管道上的計量流量計所造成的壓力損失占有很大比重。因此,91看片网站下载的壓力損失研究對節能減排和推動我國燃氣計量儀表產業的發展具有較好的推動作用。
近年來,越來越多的學者采用數值模擬仿真方法對渦輪流量計進行研究,如XU、LIU、 等學者均通過數值計算形式模擬流量計內部流動,並與實驗比較驗證了模擬結果的正確性。應用S-A、標準k-ε、RNGk-ε、Realizable k-ε和標準k-ω這5種湍流模型對渦輪流量計進行三維數值模擬,並將應用各湍流模型得出的仿真儀表係數與實流標定值進行對比和分析,這對數值模擬計算選取湍流模型給出了一定參考。
目前,渦輪流量計的優化主要通過改良其導流件、葉輪、軸承、非磁電信號檢出器等部件的結構尺寸和加工工藝,來改善流量計測量氣體、高粘度流體和小流量時的特性。對降低渦輪流量傳感器粘度變化敏感度進行了研究。SUN等采用了Standard k-ε湍流模型數值模擬口徑為15mm的渦輪流量計的內部流動,結果表明壓力損失受到前端和後端形狀、導流體半徑、導流體的導流片和渦輪葉片厚度的影響,雖然對91看片网站下载的流動進行實驗測量和數值計算,發現前導流器的結構變化對後麵各部件內的氣體流動速度梯度和壓力恢複也有明顯影響,使總壓力損失進一步放大或減小,但對流量計的其它部件未進行分析。本文將對一種型號91看片网站下载各部件的壓力損失與流量的關係進行分析研究,以提出其優化思路。
1、渦輪流量計的基本結構及工作原理
本文采用80mm口徑91看片网站下载轉研究對象,對其進行內部流道的壓力損失數值模擬。
91看片网站下载結構示意圖如圖1。91看片网站下载實物如圖2,其中圖2(a)為渦輪流量計實物圖,圖2(b)為渦輪流量計機芯葉輪實物圖。
91看片网站下载的原理是,氣體流過流量計推動渦輪葉片旋轉,利用置於流體中的葉輪的旋轉角速度與流體流速成比例的關係,通過測量葉輪轉速來得到流體流速,進而得到管道內的流量值。渦輪流量計輸出的脈衝頻率f與所測體積流量qv成正比,即
式(1)中:k—流量計的儀表係數。
根據運動定律可以寫出葉輪的運動方程為
式(2)中:J—葉輪的轉動慣量;t—時間;ω—葉輪的轉速;Tr—推動力矩;Trm—機械摩擦阻力矩;Trf—流動阻力矩;Tre—電磁阻力矩。
2、計算模型
2.1數學模型
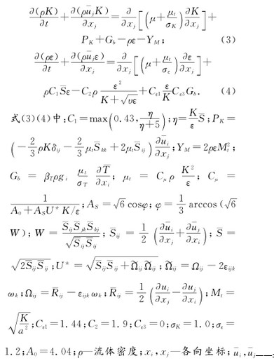
設定渦輪流量計數值模擬的工作介質為空氣,流動處於湍流流動,數值模擬湍流模型采用Realizable K-ε模型,該模型適用於模擬計算旋轉流動、強逆壓梯度的邊界層流動、流動分離和二次流等,其模型方程表示為:
各向流速平均值;a—聲速;μ—動力粘性係數;υ—運動粘性係數;K—湍流動能;ε—湍流耗散率;βT—膨脹係數;ωk—角速度;—時均轉動速率張量;如不考慮浮力影響Gb=0,如流動不可壓縮,=0,YM=0。
2.2流體區域網格劃分
使用Solidworks三維設計軟件依照實物尺寸對渦輪流量計各部件進行建模及組裝,簡化主軸、取壓孔和加油孔等對流體區域影響較小的部分。先對機芯部分做布爾運算得到純流體區域,然後對葉輪外加包絡體形成旋轉區域,在機芯進出口前後均加上15倍機芯口徑的直管段,以保證進出口流動為充分發展湍流。全部流體區域包括前後直管段、葉輪包絡體以及機芯部分的流體區域。用Gambit軟件對三維模型進行網格劃分,對流體區域中的小麵和尖角等難以生成網格的部分進行優化和簡化處理,流體區域使用非結構化混合網格,並對機芯流道內葉輪等流動情況較複雜區域進行了局部加密,如圖3。其中圖3(a)為機芯流體區域網格圖,圖3(b)為葉輪網格圖,整體網格總數量約230萬。
2.3數值模擬仿真條件設置
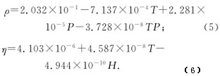
數值計算時,為方便模擬結果與實驗結果的對比,環境溫度、濕度和壓力設置與實驗工況相同,流體介質選擇空氣,空氣的密度ρ和動力粘度η根據Rasmussen提出的計算規程擬合推導出的簡化公式(5)和(6)計算獲得:
式(5)(6)中:T—溫度;P—壓力;H—濕度。
求解器采用分離、隱式、穩態計算方法,湍流模型選擇Realizable k-ε湍流模型,壓力插值選擇Body force weighted格式,湍流動能、湍流耗散項和動量方程均采用二階迎風格式離散,壓力與速度的耦合采用SIMPLEC算法求解,其餘設置均采用Fluent默認值。計算區域管道入口采用速度入口邊界條件,速度方向垂直於入口直管段截麵.出口邊界條件采用壓力出口。葉輪包絡體設置為動流動區域,其餘為靜流動區域,采用interface邊界條件轉分界麵,對於旋轉部分和靜止部分之間的耦合采用多重參考坐標模型(MRF)。葉輪采用滑移邊界條件且相對於附近旋轉流體區域速度為零。葉輪轉速是通過使用FLUENT軟件中的TurboTopol-ogy與Turbo Report功能,不斷調整葉輪轉速,觀察葉輪轉速是否達到力矩平衡來確定的。
3、數值模擬結果分析
在流量計流量範圍內選取了13m3/h、25m3/h、62.5m3/h、100m3/h、175m3/h、250m3/h這6個流量點進行同工況環境數值模擬,得到91看片网站下载的內部流場和壓力分布等數據。進口橫截麵取於前整流器前10mm處,出口橫截麵取於後導流體後10mm處。計算渦輪流量計進出口橫截麵上的壓力差,即得到流量計的壓力損失。圖4為流量與壓力損失之間的關係曲線,圖中實驗值是在工況條件下使用音速噴嘴法氣體流量標準裝置測得。
根據圖4中壓力損失隨流量的變化趨勢,可以將流量與壓力損失之間的關係擬合曲線為二次多項式,其表達式為
這與流量計的壓力損失計算公式(8)趨勢相符,均為二次函數,且數值模擬結果與實驗結果吻合得較好,說眯輪流量計的內部流場數值模擬方法及結果是可行且可靠的。流量計的壓力損失計算公式為
式(8)中:ΔP—壓力損失;α—壓力損失係數;υ—管道平均流速。
以流量Q=250m3/h的數值模擬計算結果為例進行渦輪流量計內部流場及壓力場的分析,圖5為渦輪流量計軸向剖麵靜壓分布圖,前導流器前後的壓力場分布較均勻且壓力梯度較小,在機芯殼體與葉輪支座連接凸台處壓力有所增加,連接麵後壓力又逐漸減小,故認為流體流經葉輪支座產生壓力損失的主要原因是連接處存在凸台,導致流場出現較大變化,不能平滑過渡,建議將葉輪支座與機芯殼體的連接改為圓弧線型或流線型。觀察圖5和圖6,當流體流經葉輪從後導流器流出渦輪流量計時,壓力梯度變化明顯,存在負壓區域並造成很大的壓降,在後導流器凸台及流量計出口處速度變化明顯,由於氣流通過後導流器後流道突擴,在後導流器背麵形成明顯的低速渦區,產生了漩渦二次流。
結合圖7、圖8流量計軸向剖麵和出口橫截麵的總壓及速度分布圖,其速度分布與壓力分布相似,流量計流道內速度分布較均勻的區域其壓力梯度變化也較小,即流道內速度的分布和變化與壓力損失大小相關。由流量計軸向剖麵和出口橫截麵的速度及壓力分布圖可以看出,流量計後導流器處產生的漩渦二次流影響了出口橫截麵處的速度及壓力分布
流量計各部件的壓力損失隨流量變化的趨勢與流量計總壓力損失隨流量的變化趨勢相同,其擬合公式為係數不同的二次多項式。各部件的壓力損失與流量呈二次函數關係,隨著流量的增加,壓力損失顯著增加。
觀察圖10各部件壓力損失百分比圖,可見前整流器、前導流器和機芯殼體處的壓力損失很小,葉輪支座處壓力損失約占總壓力損失的1/4。前整流器所占壓力損失比例在各流量點基本保持不變,前導流器和機芯殼體處的壓力損失隨流量的增加其比例略有降低,葉輪支座處壓力損失隨流量的增加其比例略有增加,但總體上受流量影響不大。葉輪處的壓力損失隨流量從13m3/h增加至250m3/h,其比例從15.88%降至8.71%,降幅明顯,後導流器處的壓力損失占總壓力損失的大半,隨著流量從13m3/h增加至250m3/h其壓力損失比例由43.77%升至55.83%,增幅明顯。總之,後導流器、葉輪支座和葉輪是流體流經渦輪流量計產生壓力損失的主要影響部件,可通過優化其結構以降低渦輪流量計的總壓力損失。
4、結語
本文采用Fluent軟件對一口徑為80mm的渦輪流量計內部進行了數值模擬計算,分析內部流場、壓力場及各部件產生的壓力損失,得出以下結論:
1)漩渦二次流是產生能量消耗的主要原因,故建議對渦輪流量計葉輪支座及後導流器進行幾何參數的優化,將其凸台邊緣改為流線型以減少。流道突擴的影響,減少後導流器葉片厚度並增加其長度及數量以減弱氣體螺旋狀流動,減弱漩渦二次流,達到降低流量計壓力損失的目的。
2)分析各部件對壓力損失的影響,其壓力損失與流量成二次函數關係。後導流器相對於其他部件是壓力損失的主要因素,約占總壓力損失的一半,隨著流量的增加其壓力損失占總壓力損失的比例上升了12.06%。葉輪支座的壓力損失約占總壓力損失的1/4,其壓力損失比例隨流量的增加基本不變。隨著流量的增加葉輪產生的壓力損失比例降幅明顯。通過數值模擬分析得出速度的分布和變化與壓力損失大小相關,通過優化流量計流道內的速度分布可降低流量計的壓力損失,後續相關的渦輪流量計優化研究可從優化其流道內速度分布入手。
相關資訊
- 91看片网站下载安裝直管段要求
- 91看片网站下载的結構與工作原理
- 91看片网站下载的產品特點和適用範圍
- 91看片网站下载選型指南與外形尺寸
- 91看片网站下载使用環境
- 91看片网站下载使用注意事項
- 91看片网站下载怎麽清洗
- 91看片网站下载適用範圍
- 91看片网站下载為什麽要加油
- 91看片网站下载波動大解決辦法
- 91看片网站下载安裝距離要求
- 91看片网站下载安裝注意事項
- 91看片网站下载應用範圍
- 91看片网站下载常見故障有哪些
- 提高91看片网站下载精度的方法
- 91看片网站下载精度等級
- 91看片网站下载的技術參數
- 91看片网站下载不準原因
- 91看片网站下载的優缺點
- 91看片网站下载的用途
- 91看片网站下载接線圖
- 91看片网站下载種類
- 用91看片网站下载測量天然氣流量
- 91看片网站下载的優點
- 91看片网站下载使用方法
- 91看片网站下载的選型表
- 91看片网站下载結構圖
- 影響91看片网站下载測量精度的因素及措施
- 91看片网站下载維護保養
- 91看片网站下载特點

