產品目錄
91看片儿免费看
液體流量計
91看片视频免费
油流量計
91看片网站下载
橢圓齒輪流量計
電磁流量計
渦街流量計
蒸汽流量計
孔板流量計
旋進旋渦流量計
熱式氣體質量流量計
轉子流量計
浮子流量計
靶式流量計
氣體流量計
超聲波流量計
磁翻板液位計
浮子液位計
浮球液位計
玻璃管液位計
雷達液位計
超聲波液位計
投入式液位計
壓力變送器
差壓變送器
液位變送器
溫度變送器
熱電偶
熱電阻
雙金屬溫度計
推薦產品
聯係91看片下载免费观看
- 金湖91看片下载免费观看儀表有限公司
- 聯係電話:15195518515
- 在線客服:1464856260
- 電話:0517-86801009
- 傳真號碼:0517-86801007
- 郵箱:1464856260@qq.com
- 網址:http://www.zhongtaijixie.net
- 地址:江蘇省金湖縣理士大道61號
自來91看片视频免费怎麽查數據
1 儀表參數設置
自來91看片视频免费有兩個運行狀態:自動測量狀態、參數設置狀態。儀表上電時,自動進入測量狀態。在自動測量狀態下,儀表自動完成各測量功能並顯示相應的測量數據。在參數設置狀態下,用戶使用四個麵板鍵,完成儀表參數設置。
1.1 鍵功能(參見圖 3.2)
1.自動測量狀態時鍵功能:

2.參數設置狀態時鍵功能:

1.2 參數設置功能鍵操作

1.3 參數設置菜單
LDG 共有 45 個菜單項,使用儀表時,用戶應根據具體情況設置或選擇各參數。LDG 菜單一覽表如下:

注:
1、序號 36 和 37 項為掉電時間記錄功能,無掉電功能轉換器,此參數項無效。
2、總量清零密碼出廠設置為:36666
1.4 儀表參數說明
儀表參數決定儀表的運行狀態、計算方法、輸出方式。正確地選用和設置儀表參數,可使儀表運行在*佳狀態,能得到較高的測量顯示精度和測量輸出精度。
儀表參數設置功能設有 5 級密碼。其中,0~3 級為用戶密碼,* 4 級為製造廠密碼。用戶可使用* 4 級密碼來重新設置* 1~3 級密碼。另外,還設有總量清零密碼專門用於累計計數回零。
無論使用哪級密碼,用戶均可以察看儀表參數。但用戶若想改變儀表參數,則要使用不同級別的密碼。
* 0 級密碼(固定值 0521):用戶能察看所有的參數,但不可修改;
* 1 級密碼(出廠值 7206):用戶能改變 1~25 儀表參數;
* 2 級密碼(出廠值 3110):用戶能改變 1~29 儀表參數;
* 3 級密碼(出廠值 2901):用戶能改變 1~38 儀表參數;
* 4 級密碼(固定值):用戶能改變所有的參數和進行參數初始化。
建議由用戶較高級別的人員掌握* 3、4 級密碼;* 3 級密碼,還可用於設置總量清“0”密碼;* 0~2 級密碼,由用戶決定何級別的人員掌握。
1.4.1 測量管道口徑
LDG 型自來91看片视频免费轉換器可按查表形式選擇配套的公稱通徑為 3~3000mm 範圍的傳感器。
1.4.2 流量量程設定
流量量程是指流量測量的上限流量值(滿量程)。上限流量值是針對輸出信號和百分比顯示而言的。它與電流輸出上限值和頻率(脈衝)輸出上限值及 100%顯示值相對應。與之相關聯的還有用百分比流量表示的小信號切除和超限報警。本轉換器的流量顯示與流速顯示在規定的範圍內不受流量量程的限製。
在流量量程設定參數中選擇流量顯示單位,儀表流量顯示單位有,體積流量單位:L/s、L/min、L/h、m3/s、m3/min、m3/h 和質量流量單位:kg/s、kg/m、kg/h、t/s、t/m、t/h,用戶可根據工藝要求和使用習慣,選定一個合適的流量顯示單位。
注意:儀表用 5 位有效數字顯示流量值,末位數值的後麵顯示有流量的單位
1.4.3 量程自動切換
轉換器具有可選的兩個量程自動切換功能,可方便地用於晝夜流量變化範圍大的自動控製測量係統。在“流量量程設定”菜單下設置的量程值為*一量程(高量程)。在“量程自動切換”菜單下可選擇 1:2、1:4 或 1:8 作為*二量程(低量程),*二量程值為*一量程值的 1/2、1/4或 1/8。
圖 5.1 是量程比為 1:4 的量程自動切換曲線。為切換安全可靠,自動設置有 5%~10%的滯後特性。當切換量程後,PDIR(FDIR)端子輸出低電平(0V)為*一量程(高量程);端子輸出高電平(+12V)為*二量程(低量程)。同時,測量界麵上行指示可提示當前量程比為 1:1、1:2、1: 4 或 1:8。

1.4.4 測量阻尼時間
長的測量阻尼時間能提高儀表流量顯示穩定性及輸出信號的穩定性,適於具有流量調節的情況使用;短的測量阻尼時間可以加快測量反映速度,適於總量累計的脈動流量測量。測量阻尼時間的設置采用選擇方式,用戶選一個阻尼時間值,即可使用。
1.4.5 流量方向選擇
如果用戶認為調試時的流體方向為正,而儀表顯示為負,則將流量方向設定反向,反之亦然。
1.4.6 流量零點修正
在電磁流量傳感器的測量管內充滿導電流體,並且流體處於靜止不流動,轉換器已經對流量計的零點做了智能化處理。若所配傳感器的零點超出轉換器的智能處理範圍,用戶需要進行流量零點修正。流量零點是用流速表示的,單位為m/s。轉換器流量零點修正顯示如下:

顯示中:上行“基準”代表儀表零點的測量值,下行顯示是流量零點修正值。當“基準”顯示不為“0”時,應調修正值使基準=0。注意:若改變下行修正值,“基準”值增加,需要改變下行數值的正、負號,使“基準”能夠修正為零。
再次提醒:流量零點修正必須在電磁流量傳感器的測量管內充滿導電流體,並且流體處於靜止不流動條件下進行。流量零點的修正值是傳感器的校驗常數值,應記入傳感器的記錄單與標*。記入時傳感器零點值是以包含符號、m/s為單位的流速值。
1.4.7 小信號切除點
小信號切除點設置是用量程的百分比流量表示的。選擇允許小信號切除時,將切除流量、流速及百分比的顯示與信號輸出;選擇禁止時,則不進行任何切除。
1.4.8 變化率限製與不敏感時間

“變化率限製值”與“不敏感時間值”是用來消除某些增加阻尼不能除去的噪聲。它能夠從真實的流量信號中判別出階躍信號引起的噪聲和漿液尖狀噪聲。這種判別是以變化率的限製和持續時間為依據的。圖 5.2 所示為使用變化率限製技術去除粗大誤差的原理說明。該功能為在前麵采樣中獲得的流量數據經一階濾波後的,設定某一上限和下限(變化率)。如果當前采樣的流量數據超過或低於這個*限值,而且在超過或低於這個*限值的變化時間之內,則認為這種變化是由於噪聲所引起的,CPU 予以切除;而當超過或低於這個*限值的變化在設置的不敏感時間以外,則認為這種變化是由於真正的流量變化所引起,CPU 就認可是測量流量的變化。
本產品的變化率設置範圍可在 0~30%內選定,不敏感時間可在 0~20s 內選擇。當變化率限製值和不敏感時間值兩者任一個為 0 時,這種功能將被關閉。一般推薦值為:變化率限製值為 10%,不敏感時間值為 3s。
注意,短時間的測量,特別是傳感器出廠校驗時不可使用這種功能。
1.4.9 流量積算單位
轉換器顯示器為10位計數器,*大允許計數值為 9999999999。使用積算單位為 L、m3、USgal、Igal 和 kg、t。並有以 0.001、0.01、0.1、1.0 為倍率的上述單位顯示。可方便讀出一段時間的累計流量。
1.4.10 被測流體密度
本轉換器具有質量流量測量功能。根據流量量程設置選擇的質量流量單位,可以確定被測流體的密度單位。密度設置可在 0.001~9.999 範圍之內。但絕對不能使密度值為 0。否則流量測量的結果總為零值。
1.4.11 電流輸出類型
用戶可在電流輸出類型中選擇 0~10mA 或 4~20 mA 的模擬電流輸出。
1.4.12 脈衝輸出方式
脈衝輸出方式有頻率輸出和脈衝輸出兩種供選擇。頻率輸出為連續方波;脈衝輸出為矩形波脈衝串。頻率輸出多用於數字的瞬時流量測量和短時間總量累積;脈衝輸出通過脈衝當量選擇,可讀出累計流量的容積值,多用於長時間直接容積單位的總量累積。
頻率輸出和脈衝輸出為 OC 門輸出形式。因此,應外接直流電源和負載。具體見* 3.4.5 節的圖 3.6。
1.4.13 脈衝當量選擇
脈衝當量定義:每個脈衝代表的體積或質量流量。
在同樣的流量下,脈衝當量小,則輸出脈衝的頻率高,適於電子計數器累計流量;脈衝當量大,輸出脈衝的頻率低,適於用於*高頻率可達 25 次/秒的機械式電磁計數器計數。
脈衝當量可以選擇 0.0001L/p、0.001L/p、0.01L/p、0.1L/p、1.0L/p、2L/p、5L/p、10L/p、100L/p、1m3/p、10m3/p、100 m3/p 和 1000 m3/p。脈衝輸出上限可達 5000cp/s。
脈衝寬度可以選擇:自動、10ms、20ms、50ms、100ms、150ms、200ms、250ms、300ms、350ms和 400ms。在選擇脈衝寬度時,要考慮不能與脈衝輸出的*大頻率衝突。
1.4.14 頻率輸出滿度
儀表頻率輸出滿度對應於流量測量上限,即百分比流量的 100%。頻率輸出上限值可在 1~5000Hz 範圍內任意設置。
1.4.15 空管報警允許
儀表具有空管檢測功能,若用戶選擇允許空管報警,則當儀表檢測出空管狀態時,即將儀表模擬輸出、數字輸出置為信號零,同時將儀表流量顯示為零。
1.4.16 電*報警閾值
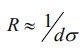
本產品空管報警和電*報警是用恒流源方法實測傳感器電*電阻,來做智能判斷。按自來91看片视频免费信號內阻公式:

式中 d——電*直徑,σ ——流體電導率,電*電阻一般在 5~50kΩ 。測量電阻與流體電導率、電*直徑有關。測量電阻能夠反映電*表麵汙染、附著以及受電解質流體*化影響等不同情況。流體不充滿,電*不能正確檢測感應信號。測量電阻向 CPU 提供電*狀況信息,由 CPU 做出空管和電*異常的判斷,轉換器提請用戶做出適當的電*維護。
本產品改善了空管報警的智能化程序,僅以初測的電*電阻值為基礎,選擇適當的電*電阻閾值(一般取初測電*電阻值的 3 倍值為參考閾值)。恒流源方式測電阻使測量不受電纜長度影響,從而使操作更加簡便,檢測更加可靠。
1.4.17 上限報警允許
用戶選擇允許或禁止。
1.4.18 上限報警閾值
上限報警值以量程百分比計算,該參數采用數值設置方式,用戶在 0%~199.9%之間設置一個數值。儀表運行時,當流量百分比大於該值時,儀表將輸出報警信號。
1.4.19 下限報警允許
用戶選擇允許或禁止
1.4.20 下限報警閾值
下限報警閾值以量程百分比計算,該參數采用數值設置方式,用戶在 0%~199.9%之間設置一個數值。儀表運行時,當流量百分比小於該值時,儀表將輸出報警信號。
1.4.21 反向測量允許
反向測量允許設置在“允許”狀態,當流體反向流動時,轉換器按反向流量值輸出脈衝和電流,反向總量進行累積。反向測量允許設置在“禁止”狀態,當流體反向流動時,轉換器輸出脈衝為“0”,電流輸出為信號“0”(4mA 或 0mA),但反向總量仍然進行累積。
1.4.22 總量清零密碼
在該參數設置中,用戶置入“積算總量清零”的密碼,儀表確認密碼無誤後,自動完成積算量清零。同時將三個積算器清為零值,重新開始累積。
“積算總量清零”密碼可以在用 3 級密碼進入設置狀態後,在“清積算量密碼”菜單下置入您想要設置的“積算總量清零”密碼,修改原來的“積算總量清零”密碼。注意:請記下您的“積算總量清零”密碼。
1.4.23 傳感器係數值
儀表配套的傳感器出廠校驗單或產品標*上,應標有“傳感器係數”。用戶應將“傳感器係數”置入儀表的傳感器係數值參數中。
1.4.24 勵磁方式選擇
轉換器能向傳感器提供四種勵磁方式。用戶可根據被測流體實際情況選擇一種。通常可以使用方式 1 勵磁,方式 2,3 適合於大口徑清潔水測量。注意,在哪種勵磁方式下工作,傳感器就必須在該種勵磁方式下標定。
1.4.25 儀表標定係數
該係數為人為設定的係數。轉換器內部計算時,總流量是測量流量乘以該係數值。例如,應用於具有仿真傳感器的明渠測量潛水自來91看片视频免费或現場標定後對儀表進行修正。
1.4.26 正向總量預置和反向總量預置
用於更換轉換器時保留原先流量積算值的累數值,以便於保持連續累計總量。
1.4.27 輸入控製選擇
本轉換器具有接點輸入控製功能,主要用於遠程累計量清零、累計量同步顯示和批量控製輸入。
選擇“輸入禁止”時,該功能被取消。選擇“累積停止”時,使用與換向器同步開關,可以使轉換器的流量積算器與其它標準容器或標準流量積算器同步計數,同步停止。在一定權限下選擇“累積清零”時,可以清掉流量積算器的積算值。
1.4.28 電流零點修正
轉換器出廠時電流輸出零點調節,使電流輸出準確為 0mA 或 4mA。
1.4.29 電流滿度修正
轉換器出廠時電流輸出滿度調節,使電流輸出準確為 10mA 或 20mA。
1.4.30 出廠標定係數
轉換器製造廠用該係數使儀表勵磁電流和信號放大器規格標準化。
1.4.31 傳感器編碼
傳感器編碼記載配套的傳感器出廠時間和編號,以確保設置的傳感器係數準確無誤。
1.4.32 轉換器編碼
轉換器編碼記載轉換器出廠時間和編號。
1.4.33 時間 年、月、日、時、分、秒(帶時鍾功能)
用戶使用 4 級密碼進入,可改時間 年、月、日、時、分、秒;
1.4.34 用戶密碼 1~3 修改
用戶使用 4 級密碼進入,可修改此密碼;
相關資訊
- dn300自來91看片视频免费技術參數
- 小口徑自來91看片视频免费規格型號
- 自來91看片视频免费的誤差範圍
- 自來91看片视频免费怎麽查數據
- 自來91看片视频免费的功能
- 自來91看片视频免费的作用
- 自來91看片视频免费種類有哪些
- 影響自來91看片视频免费計量因素分析
- 自來91看片视频免费精度等級
- 自來91看片视频免费怎麽讀數
- 自來91看片视频免费規格型號
- 自來91看片视频免费數值突然增大原因分析與處理
- 自來91看片视频免费安裝位置
- 自來91看片视频免费工作原理
- 自來91看片视频免费歸零操作流程
- 自來91看片视频免费如何校驗
- 自來91看片视频免费安裝規範要求
- 自來91看片视频免费使用方法
- 自來91看片视频免费結構圖
- 自來91看片视频免费如何歸零
- 自來91看片视频免费怎麽接線圖解
- 自來91看片视频免费的技術參數
- 自來91看片视频免费的選型指南
- 自來91看片视频免费怎麽調整
- 自來水管流量表,自來91看片视频免费量表
- dn100自來91看片视频免费,自來91看片视频免费價格
- 自來水管道電磁流量表,自來水計量表價格
- 自來91看片视频免费價格,自來水用91看片视频免费
- 管道自來91看片视频免费,測量自來91看片视频免费
- 自來水流量表,測自來水流量用哪種流量計

