產品目錄
91看片儿免费看
液體流量計
91看片视频免费
油流量計
91看片网站下载
橢圓齒輪流量計
電磁流量計
渦街流量計
蒸汽流量計
孔板流量計
旋進旋渦流量計
熱式氣體質量流量計
轉子流量計
浮子流量計
靶式流量計
氣體流量計
超聲波流量計
磁翻板液位計
浮子液位計
浮球液位計
玻璃管液位計
雷達液位計
超聲波液位計
投入式液位計
壓力變送器
差壓變送器
液位變送器
溫度變送器
熱電偶
熱電阻
雙金屬溫度計
推薦產品
聯係91看片下载免费观看
- 金湖91看片下载免费观看儀表有限公司
- 聯係電話:15195518515
- 在線客服:1464856260
- 電話:0517-86801009
- 傳真號碼:0517-86801007
- 郵箱:1464856260@qq.com
- 網址:http://www.zhongtaijixie.net
- 地址:江蘇省金湖縣理士大道61號
高頻勵磁自來91看片视频免费的測量原理與設計
發布時間:2021-01-04 08:30:18 點擊次數:1875次
摘要:針對傳統自來91看片视频免费在測量漿液流量時存在精度低、傳感器輸出波動大等缺點,設計了一種基於 DSP 的高頻勵磁自來91看片视频免费。該自來91看片视频免费采用高低壓切換勵磁方式,通過引入電流旁路來改進變送器的勵磁電路,提高勵磁頻率。利用具有高輸入阻抗的差分放大電路放大傳感器輸出信號,提高信號的信噪比,保證提取信號的精確度。實際測試結果表明:係統測量精度高,對小流速階段測量準確度明顯改善,測量誤差不超過 5%。
引言
流量檢測在工業生產、廢液監測以及管道運輸等領域有著廣泛的應用,根據測量原理不同,流量計可以大致分為力學、電學、聲學、熱學、光學等類型,其中自來91看片视频免费是依據電學原理研製而成,自來91看片视频免费與其他流量計相比,具有結構簡單、測量精度高、穩定性好等特點。但自來91看片视频免费在測量低流速、低導電率液體時存在精度不高等缺點,為了克服這個缺點,本文研製了一種基於 DSP 的高頻勵磁自來91看片视频免费,在勵磁方式上選用旁路勵磁電路與恒流控製電路相結合的方式,提高了勵磁頻率以及能量的利用效率。本文選用高性能 DSP TMS320F28335 來采集處理傳感器輸出的信號,顯著提高了係統測量時的響應速度,將流量計算結果通過 LCD 屏的方式實時顯示,係統具有體積小、便攜式以及測量精度高等優點。
1 高頻勵磁自來91看片视频免费測量原理
自來91看片视频免费根據電磁感應定律的原理來測量導電液體的流量,測量導電液體的傳感器中繞有線圈,通過給線圈通電,當液體流過線圈時就會切割磁感線,此時在線圈的兩端會產生感應電動勢 e,根據電磁學中右手法則可得:
e=BLv (1)
式中:B 為傳感器線圈產生的磁場強度;L 為傳感器線圈的長度;v 為液體在傳感器中流動的速度。
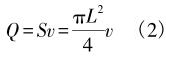
由流量計算公式可得:

式中 S 為傳感器管道的截麵積。由式(1)可知,當 B 和 L 已知時,隻要測得 e 就可以反推出 v;由式(2)可知,當測得 v 時就能計算出 Q。
2 高頻勵磁自來91看片视频免费硬件設計
高頻勵磁自來91看片视频免费由傳感器、高頻勵磁電路、信號處理電路等組成,其中高頻勵磁電路決定著傳感器磁場的強弱,勵磁電路的穩定性以及精確性決定著係統檢測的準確性以及穩定性。DSP 係統控製勵磁電路激勵傳感器線圈,當線圈中有導電液體流過時,其切割磁感線並在傳感器兩端的線圈上產生感應電動勢,利用信號檢測電路監測感應電動勢的大小,*後根據相應關係計算出液體的流量,係統硬件框圖如圖 1 所示。

2.1 高頻勵磁電路設計
高頻勵磁電路主要由高低壓切換恒流控製電路和H 橋勵磁開關電路組成。其中高低壓切換恒流控製電路確保高壓或低壓情況,都可以通過 H 橋向勵磁線圈提供恒定的電流。電路原理圖如圖 2所示。

如圖2 所示,在對傳感器線圈進行勵磁時,通過比較器控製切換開關切換高低壓進行勵磁。V ref 作為比較器的基準輸入端,其表示勵磁電流的電壓穩態值;而 C ur 則表示 H 橋勵磁電路中檢測到的電壓信號。一開始當係統處於低壓勵磁狀態時,係統會自動斷開切換電路中的電流旁路,此時係統通過利用 H 橋向勵磁線圈提供恒定電流。當勵磁方向變化時,電流檢測電路就會檢測到電流變為負方向,比較器的 C ur 端與V ref 端的平衡就會發生變化,此時係統通過比較器自動切換為高壓勵磁狀態。與低壓勵磁方式相反,在此種狀態下,恒流控製電路關閉而電流旁路打開,線圈中的能量就會存儲在能量回饋電路中,此時 C 1 端的電壓會超過高壓源。等勵磁線圈中的能量釋放完後,電流逐漸降為零,此時能量回饋電路就會利用電流旁路和 H 橋將能量反饋給勵磁線圈。當電容 C 1 端的電壓下降到小於高壓源時,係統就會自動通過電流旁路和H 橋直接對勵磁線圈進行勵磁,當勵磁線圈中的電流超過設定閾值時,C ur 端電壓就會大於 V ref 點電壓,此時比較器又會切換成低壓勵磁方式,如此反複循環控製,達到對勵磁線圈恒流控製的目的。圖 3 為 H 橋勵磁控製電路。

由圖 3 可知,I o 為高低壓切換恒流控製電路輸出的恒流源電流,H 橋驅動的 COM1 端控製三*管 Q 1和場效應管 Q 4 的通斷;COM2 端控製三*管 Q 2 和場效應管 Q 3 的通斷。L 1 表示的是勵磁線圈(傳感器中線圈),COM1、COM2 為正交的 PWM 波信號,因此在勵磁線圈 L 1 的兩端會產生方波勵磁信號。檢流電路主要是用來檢測勵磁線圈中電流的變化,當線圈中的勵磁電流方向變化時,可以及時將此信息反饋給高低壓切換恒流控製電路中的比較器,從而實現切換高低壓源達到恒流控製的目的。
2.2 信號調理電路
由於傳感器線圈輸出的電動勢信號非常微弱,幹擾成分複雜,信號幅值受磁場變動影響較大,不能滿足 ADC 采用的要求,因此需要對此信號進行調理。
信號調理電路原理圖如圖 4 所示。

如圖4 所示,信號調理電路由前置放大電路、濾波電路以及二次放大電路組成。其中前置放大電路主要是由 AD8610 組成的差分放大電路構成,其主要是去除信號中的共模幹擾並且進行*一次前置放大,前置放大電路的放大倍數為 15。由於有效信號的幅值很小,經過前置放大電路後信號中還存在很多高頻雜波,這些雜波會影響對後級信號的處理,因此還需要對前置放大電路輸出的信號進行低通濾波和二次放大。係統選用二階有源低通濾波電路濾除信號中的高頻幹擾,低通濾波的截止頻率設定在 6 kHz 左右,選用 AD817 組成的二次放大電路對濾波電路輸出的信號進行二次放大,將信號調理電路輸出的信號調整在 0~5 V 之間,*終利用 DSP 內部的 AD 轉換器對此信號進行模數轉換得出傳感器線圈輸出的感應電動勢,從而根據相關的公式計算得出管道中液體的流量。具體電路圖如圖 5 所示。

2.3 通信電路
自來91看片视频免费輸出的流量值可以通過外接的 TFTLCD 屏直接顯示,還可以通過預留的 RS485 通信接口將數據發送到上位機中。RS485 電路*大的優點是 485 電平與 TTL 電平兼容,方便與 TTL 電路相連;抗共模幹擾能力強;數據傳輸速度快,高達 10 Mbps;通信距離遠,*大為 1.2 km。係統采用 SP3485 芯片進行數據通信,SP3485 是一款低功耗芯片且符合RS485 協議的收發器,電路圖如圖 6 所示。

3 軟件設計
軟件流程圖如圖7 所示。軟件采用模塊化的設計方法,主要設計了勵磁控製切換程序、PWM 波產生程序、A/D 轉換程序以及 RS485 通信程序等。係統上電後*先執行複位操作,利用 DSP 內部的定時器產生PWM 波控製 H 橋電路中的勵磁方式,當係統檢測到傳感器線圈輸出的感應電動勢後,利用 DSP 內部的 12位 A/D 轉換器對此信號進行模數轉換,*後根據相應算法計算出管道中被測液體的流量。

4 實驗數據分析
實驗中使用管道的管徑為標準 50 mm,連續檢測管道中同一點的流量,每 10 min 記錄一次數據,對比數據的差異,以此來判定係統測量的穩定性。*先對管道中的流量進行標定,利用標準流量計進行檢測,通過改變閥門開度來調整管道中液體流量,流量標定為 1 m/s,此時啟動係統開始檢測,數據如表 1 所示。

由表 1 測量數據可知,當管道中液體的流速恒定時,係統在同一點檢測到的流量基本一致,誤差在 4%內,由此可見係統具有良好的穩定性,符合設計預期。在驗證完係統的穩定性之後,進一步檢驗係統測量的準確性。通過閥門改變管道中待測液體的流速,將標準流量計檢測到的流速與被測自來91看片视频免费測量的流速進行比較,實驗測量數據如表 2 所示。

由表 2 測量數據可知,係統在測量低流速液體時(流速小於 1 m/s)誤差較大,達到 5%,當待測液體的流速增大時(大於 1.4 m/s),誤差逐漸減小,基本維持在 3%以內。由此可見係統具有較高的檢測精度,尤其是當管道中的液體流速較高時,係統的檢測誤差不超過 3%,達到了設計預期。
5 結束語
文中采用了基於能量回饋和電流旁路的高低壓勵磁控製方案,通過高低壓切換勵磁的方式來實現對勵磁過程中恒流的控製,從而使得係統穩定可靠運行。MCU采用高性能數字處理器 DSP TMS320F28335,提高了係統的采樣精度以及算法處理的速度。在測量數據顯示方麵,利用 TFT LCD 屏直接顯示測量結果,也可以將測量數據通過 RS485 接口發送到上位機中。實際測試結果表明,係統具有良好的穩定性,且測量精度較高,誤差不超過 5%。
引言
流量檢測在工業生產、廢液監測以及管道運輸等領域有著廣泛的應用,根據測量原理不同,流量計可以大致分為力學、電學、聲學、熱學、光學等類型,其中自來91看片视频免费是依據電學原理研製而成,自來91看片视频免费與其他流量計相比,具有結構簡單、測量精度高、穩定性好等特點。但自來91看片视频免费在測量低流速、低導電率液體時存在精度不高等缺點,為了克服這個缺點,本文研製了一種基於 DSP 的高頻勵磁自來91看片视频免费,在勵磁方式上選用旁路勵磁電路與恒流控製電路相結合的方式,提高了勵磁頻率以及能量的利用效率。本文選用高性能 DSP TMS320F28335 來采集處理傳感器輸出的信號,顯著提高了係統測量時的響應速度,將流量計算結果通過 LCD 屏的方式實時顯示,係統具有體積小、便攜式以及測量精度高等優點。
1 高頻勵磁自來91看片视频免费測量原理
自來91看片视频免费根據電磁感應定律的原理來測量導電液體的流量,測量導電液體的傳感器中繞有線圈,通過給線圈通電,當液體流過線圈時就會切割磁感線,此時在線圈的兩端會產生感應電動勢 e,根據電磁學中右手法則可得:
e=BLv (1)
式中:B 為傳感器線圈產生的磁場強度;L 為傳感器線圈的長度;v 為液體在傳感器中流動的速度。
由流量計算公式可得:

式中 S 為傳感器管道的截麵積。由式(1)可知,當 B 和 L 已知時,隻要測得 e 就可以反推出 v;由式(2)可知,當測得 v 時就能計算出 Q。
2 高頻勵磁自來91看片视频免费硬件設計
高頻勵磁自來91看片视频免费由傳感器、高頻勵磁電路、信號處理電路等組成,其中高頻勵磁電路決定著傳感器磁場的強弱,勵磁電路的穩定性以及精確性決定著係統檢測的準確性以及穩定性。DSP 係統控製勵磁電路激勵傳感器線圈,當線圈中有導電液體流過時,其切割磁感線並在傳感器兩端的線圈上產生感應電動勢,利用信號檢測電路監測感應電動勢的大小,*後根據相應關係計算出液體的流量,係統硬件框圖如圖 1 所示。

2.1 高頻勵磁電路設計
高頻勵磁電路主要由高低壓切換恒流控製電路和H 橋勵磁開關電路組成。其中高低壓切換恒流控製電路確保高壓或低壓情況,都可以通過 H 橋向勵磁線圈提供恒定的電流。電路原理圖如圖 2所示。

如圖2 所示,在對傳感器線圈進行勵磁時,通過比較器控製切換開關切換高低壓進行勵磁。V ref 作為比較器的基準輸入端,其表示勵磁電流的電壓穩態值;而 C ur 則表示 H 橋勵磁電路中檢測到的電壓信號。一開始當係統處於低壓勵磁狀態時,係統會自動斷開切換電路中的電流旁路,此時係統通過利用 H 橋向勵磁線圈提供恒定電流。當勵磁方向變化時,電流檢測電路就會檢測到電流變為負方向,比較器的 C ur 端與V ref 端的平衡就會發生變化,此時係統通過比較器自動切換為高壓勵磁狀態。與低壓勵磁方式相反,在此種狀態下,恒流控製電路關閉而電流旁路打開,線圈中的能量就會存儲在能量回饋電路中,此時 C 1 端的電壓會超過高壓源。等勵磁線圈中的能量釋放完後,電流逐漸降為零,此時能量回饋電路就會利用電流旁路和 H 橋將能量反饋給勵磁線圈。當電容 C 1 端的電壓下降到小於高壓源時,係統就會自動通過電流旁路和H 橋直接對勵磁線圈進行勵磁,當勵磁線圈中的電流超過設定閾值時,C ur 端電壓就會大於 V ref 點電壓,此時比較器又會切換成低壓勵磁方式,如此反複循環控製,達到對勵磁線圈恒流控製的目的。圖 3 為 H 橋勵磁控製電路。

由圖 3 可知,I o 為高低壓切換恒流控製電路輸出的恒流源電流,H 橋驅動的 COM1 端控製三*管 Q 1和場效應管 Q 4 的通斷;COM2 端控製三*管 Q 2 和場效應管 Q 3 的通斷。L 1 表示的是勵磁線圈(傳感器中線圈),COM1、COM2 為正交的 PWM 波信號,因此在勵磁線圈 L 1 的兩端會產生方波勵磁信號。檢流電路主要是用來檢測勵磁線圈中電流的變化,當線圈中的勵磁電流方向變化時,可以及時將此信息反饋給高低壓切換恒流控製電路中的比較器,從而實現切換高低壓源達到恒流控製的目的。
2.2 信號調理電路
由於傳感器線圈輸出的電動勢信號非常微弱,幹擾成分複雜,信號幅值受磁場變動影響較大,不能滿足 ADC 采用的要求,因此需要對此信號進行調理。
信號調理電路原理圖如圖 4 所示。

如圖4 所示,信號調理電路由前置放大電路、濾波電路以及二次放大電路組成。其中前置放大電路主要是由 AD8610 組成的差分放大電路構成,其主要是去除信號中的共模幹擾並且進行*一次前置放大,前置放大電路的放大倍數為 15。由於有效信號的幅值很小,經過前置放大電路後信號中還存在很多高頻雜波,這些雜波會影響對後級信號的處理,因此還需要對前置放大電路輸出的信號進行低通濾波和二次放大。係統選用二階有源低通濾波電路濾除信號中的高頻幹擾,低通濾波的截止頻率設定在 6 kHz 左右,選用 AD817 組成的二次放大電路對濾波電路輸出的信號進行二次放大,將信號調理電路輸出的信號調整在 0~5 V 之間,*終利用 DSP 內部的 AD 轉換器對此信號進行模數轉換得出傳感器線圈輸出的感應電動勢,從而根據相關的公式計算得出管道中液體的流量。具體電路圖如圖 5 所示。

2.3 通信電路
自來91看片视频免费輸出的流量值可以通過外接的 TFTLCD 屏直接顯示,還可以通過預留的 RS485 通信接口將數據發送到上位機中。RS485 電路*大的優點是 485 電平與 TTL 電平兼容,方便與 TTL 電路相連;抗共模幹擾能力強;數據傳輸速度快,高達 10 Mbps;通信距離遠,*大為 1.2 km。係統采用 SP3485 芯片進行數據通信,SP3485 是一款低功耗芯片且符合RS485 協議的收發器,電路圖如圖 6 所示。

3 軟件設計
軟件流程圖如圖7 所示。軟件采用模塊化的設計方法,主要設計了勵磁控製切換程序、PWM 波產生程序、A/D 轉換程序以及 RS485 通信程序等。係統上電後*先執行複位操作,利用 DSP 內部的定時器產生PWM 波控製 H 橋電路中的勵磁方式,當係統檢測到傳感器線圈輸出的感應電動勢後,利用 DSP 內部的 12位 A/D 轉換器對此信號進行模數轉換,*後根據相應算法計算出管道中被測液體的流量。

4 實驗數據分析
實驗中使用管道的管徑為標準 50 mm,連續檢測管道中同一點的流量,每 10 min 記錄一次數據,對比數據的差異,以此來判定係統測量的穩定性。*先對管道中的流量進行標定,利用標準流量計進行檢測,通過改變閥門開度來調整管道中液體流量,流量標定為 1 m/s,此時啟動係統開始檢測,數據如表 1 所示。

由表 1 測量數據可知,當管道中液體的流速恒定時,係統在同一點檢測到的流量基本一致,誤差在 4%內,由此可見係統具有良好的穩定性,符合設計預期。在驗證完係統的穩定性之後,進一步檢驗係統測量的準確性。通過閥門改變管道中待測液體的流速,將標準流量計檢測到的流速與被測自來91看片视频免费測量的流速進行比較,實驗測量數據如表 2 所示。

由表 2 測量數據可知,係統在測量低流速液體時(流速小於 1 m/s)誤差較大,達到 5%,當待測液體的流速增大時(大於 1.4 m/s),誤差逐漸減小,基本維持在 3%以內。由此可見係統具有較高的檢測精度,尤其是當管道中的液體流速較高時,係統的檢測誤差不超過 3%,達到了設計預期。
5 結束語
文中采用了基於能量回饋和電流旁路的高低壓勵磁控製方案,通過高低壓切換勵磁的方式來實現對勵磁過程中恒流的控製,從而使得係統穩定可靠運行。MCU采用高性能數字處理器 DSP TMS320F28335,提高了係統的采樣精度以及算法處理的速度。在測量數據顯示方麵,利用 TFT LCD 屏直接顯示測量結果,也可以將測量數據通過 RS485 接口發送到上位機中。實際測試結果表明,係統具有良好的穩定性,且測量精度較高,誤差不超過 5%。
相關資訊
- dn300自來91看片视频免费技術參數
- 小口徑自來91看片视频免费規格型號
- 自來91看片视频免费的誤差範圍
- 自來91看片视频免费怎麽查數據
- 自來91看片视频免费的功能
- 自來91看片视频免费的作用
- 自來91看片视频免费種類有哪些
- 影響自來91看片视频免费計量因素分析
- 自來91看片视频免费精度等級
- 自來91看片视频免费怎麽讀數
- 自來91看片视频免费規格型號
- 自來91看片视频免费數值突然增大原因分析與處理
- 自來91看片视频免费安裝位置
- 自來91看片视频免费工作原理
- 自來91看片视频免费歸零操作流程
- 自來91看片视频免费如何校驗
- 自來91看片视频免费安裝規範要求
- 自來91看片视频免费使用方法
- 自來91看片视频免费結構圖
- 自來91看片视频免费如何歸零
- 自來91看片视频免费怎麽接線圖解
- 自來91看片视频免费的技術參數
- 自來91看片视频免费的選型指南
- 自來91看片视频免费怎麽調整
- 自來水管流量表,自來91看片视频免费量表
- dn100自來91看片视频免费,自來91看片视频免费價格
- 自來水管道電磁流量表,自來水計量表價格
- 自來91看片视频免费價格,自來水用91看片视频免费
- 管道自來91看片视频免费,測量自來91看片视频免费
- 自來水流量表,測自來水流量用哪種流量計

