產品目錄
91看片儿免费看
液體流量計
91看片视频免费
油流量計
91看片网站下载
橢圓齒輪流量計
電磁流量計
渦街流量計
蒸汽流量計
孔板流量計
旋進旋渦流量計
熱式氣體質量流量計
轉子流量計
浮子流量計
靶式流量計
氣體流量計
超聲波流量計
磁翻板液位計
浮子液位計
浮球液位計
玻璃管液位計
雷達液位計
超聲波液位計
投入式液位計
壓力變送器
差壓變送器
液位變送器
溫度變送器
熱電偶
熱電阻
雙金屬溫度計
推薦產品
聯係91看片下载免费观看
- 金湖91看片下载免费观看儀表有限公司
- 聯係電話:15195518515
- 在線客服:1464856260
- 電話:0517-86801009
- 傳真號碼:0517-86801007
- 郵箱:1464856260@qq.com
- 網址:http://www.zhongtaijixie.net
- 地址:江蘇省金湖縣理士大道61號
注91看片视频免费傳感器檢測原理及權函數仿真與分析
發布時間:2021-01-04 08:32:04 點擊次數:2033次
摘要:在非理想流場條件下,異徑注91看片视频免费傳感器將產生較大的測量誤差。提高傳感器權函數分布均勻度,有助於提高傳感器的非理想流場測量性能。因此,需要開展傳感器權函數分布規律的研究。基於有限元軟件COMSOL,分析了4種異徑注91看片视频免费傳感器權函數的均勻度,結果表明:矩形異徑傳感器的權函數*均勻。建立矩形異徑注91看片视频免费傳感器三維模型,研究權函數與矩形段長寬高的分布規律,結果表明:矩形段高度對權函數均勻性的影響*大,寬度稍小,長度影響*小。矩形段的高度和寬度越小,權函數分布越均勻,測量結果受非理想流場的影響越小。
引言
異徑注91看片视频免费傳感器由於安裝空間狹小、前後沒有理想直管段,管道內被測流場通常是非理想流場,將導致測量值與真實值存在較大偏差、影響計量精度。為提高非理想流場的測量性能,需要研究合適的異徑截麵形狀和尺寸,以提高傳感器內權函數分布的均勻度。然而國內外相關的研究較少。ShercliffJA和BevirMK等人*次提出和深化了注91看片视频免费的權函數理論。衛開夏等人利用ANSYS有限元軟件求解非滿管注91看片视频免费的權函數分布。孔令富等人使用MATLAB軟件中的PDE工具箱對權函數進行有限元求解。王月明等人基於ANSYS對含有非導電物質時的注91看片视频免费進行有限元分析。李雪菁采用COMSOLMultiphysics有限元軟件求解非絕緣管注91看片视频免费的權函數分布。王經卓等人基於COMSOL軟件,利用流體像素的方法求解注91看片视频免费權函數的分布。上述文獻主要針對圓管注91看片视频免费傳感器點電*的二維權函數進行分析,其研究結果與實際三維情況存在偏差。同時,尚未有人針對異徑注91看片视频免费傳感器三維權函數的分布規律進行研究。由於無可參考的非理想流場測量工況的理論依據,研發人員無法確定究竟何種異徑截麵有助於提高權函數均勻度,也無法確定哪一種尺寸有助於提高權函數均勻度。針對這一問題,本文從理論上研究權函數與耦合電動勢關係,確定提高權函數分布均勻度有助於非理想流場測量。通過COMSOL軟件采用電場模擬法,分析4種不同異徑截麵注91看片视频免费傳感器的權函數分布均勻度,確定較優的異徑截麵形狀。針對優選異徑截麵形狀的圓電*注91看片视频免费傳感器,研究權函數分布均勻度與異徑段長寬高之間的規律。所得結論為異徑注91看片视频免费傳感器的測量管結構尺寸設計提供了一定的參考,也為提高異徑注91看片视频免费傳感器的非理想流場測量性能提供了理論依據。
1、注91看片视频免费傳感器檢測原理
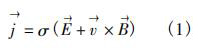
當導電性液體在磁場中作切割磁力線運動時,液體中有感應電流產生。假定液體的電導率δ是均勻、各向同性的,則歐姆定律的普遍公式寫作

式中j→為電流密度矢量,為通過液體單位麵積的電流,A/m2;E→為電場強度矢量,V/m;v→為流體速度,m/s;B→為磁感應強度,T。當激勵電流角頻率ω不大時,流體中的位移電流完全可以忽略,即

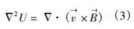
將式(2)帶入式(1)得注91看片视频免费傳感器的基本測量方程

式中U為感應電動勢,V;2為拉普拉斯算子;為哈密頓算子。
通常借助Green函數G來求解微分方程(3),G滿足Laplace方程

根據傳感器的管道形狀和電絕緣邊界條件,建立了完整形式的注91看片视频免费傳感器基本方程

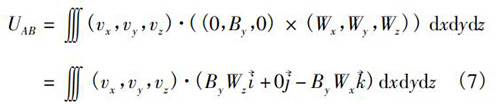
式中V為注91看片视频免费傳感器測量空間;W→為權函數。在直角坐標係(x,y,z)中,式(5)可以轉換為

若磁感應強度在傳感器有效工作區間內分布均勻,則磁感應強度B=By,Bx=Bz=0,式(6)可以化為

當流速為軸向流時,即v=-vz,vx=vy=0;則式(7)表示為

同時,若傳感器內的權函數分布均勻,Wx=W,則式(8)變為

傳感器內的權函數分布均勻時,感應電動勢大小隻與流速積分值成正比,不依賴於流型的分布,有利於非理想流場的精確測量。
2權函數仿真與分析
注91看片视频免费傳感器內的流體微元切割磁力線產生感應的電勢和電位,相當於一個個微小的“電源”。某一點的權函數應為該點微元作為“電源”所產生的電位梯度與電*間電位差之比。所以,可以采用電場模擬法測定權函數:傳感器空間內充滿導電液體(一般為水),在電*處施加一定的電壓,便會在導電介質中形成一個電場,測得各點的電場強度,並除以中心點的電場強度,即得到歸一化後的權函數值,將其繪製成等值線圖便可得到權函數分布圖。
2.1仿真方法
基於電場模擬法,選擇COMSOLMultiphysics有限元仿真軟件求解權函數步驟如下:
1)使用AC/DC模塊中的電流應用程序模式,圓管半徑為32mm,點電*半徑0.4mm,仿真模型為二維模型;
2)電*材質設置為金屬銅,導電液體為水,電導率為1×10-4S/m;
3)測量管具有絕緣襯裏,滿足電絕緣邊界條件n→×j→=0,左右電*分別施加1,-1V的電壓;
4)劃分四邊形網格,為了保證仿真結果的精確度,選擇*細化網格;
5)使用穩態求解器進行計算,得到各點處的電場強度,並除以中心點處的電場強度,得到歸一化後的權函數值。
2.2結果分析
2.2.1不同異徑麵的影響
為考察不同異徑截麵權函數分布的均勻性,使用上述方法對圓形、正方形、八邊形和矩形異徑截麵的權函數分布進行定性分析。為了便於對比,設置管道口徑為DN100,異徑部分截麵積為3200mm2。所以,圓形異徑麵半徑為32mm,正方形異徑麵邊長為56.6mm,八邊形異徑麵邊長為25.8mm,矩形異徑麵長寬為80×40mm。仿真結果如圖1所示,為了便於對比,權函數等勢線大小從0開始,以0.25為步長遞增到30。由圖1(a)~圖1(d)可知,矩形異徑截麵的權函數等勢線間距*大,即權函數變化梯度*小,權函數分布*均勻。

為了客觀評價不同異徑截麵內權函數分布的均勻程度,采用整體均勻度來定量衡量權函數的均勻性,設電*截麵內每個節點的權函數值為 Wk,相應截麵的權函數平均值為 W0,則電*截麵內權函數的整體均勻度 R 為

通過式( 10) 計算得到圓形、正方形、八邊形、矩形 4 種
不同異徑截麵權函數分布的整體均勻度分別為 1. 811 2, 1. 996 9,1. 915 0,1. 563 9。
綜上所述,矩形異徑結構的權函數分布*均勻,所以,異徑注91看片视频免费傳感器采用矩形異徑的管道結構,該結構權函數分布比較均勻,能夠減少非理想流場引入的測量誤差。在實際生產實踐過程中,權函數分布與矩形段長 L、寬 D、 高 H 有關,因此,開展了矩形異徑圓電*注91看片视频免费傳感器的三維權函數建模分析,*終得到一種權函數分布比較均勻的結構尺寸。
2. 2. 2 三維權函數分布
使用 Pro /E 軟件建立三維幾何模型,導入 COMSOL 軟件進行有限元求解。仿真模型如圖 2 所示,電*連線為x 軸,連線中點為坐標原點,流體運動方向為 z 軸,傳感器管道口徑為 DN100,總長250 mm。異徑管部分初始結構尺寸 L = 80 mm,D = 80 mm,H = 40 mm,圓形電*半徑為17 mm,伸出絕緣襯裏的*大距離為 1. 5 mm。
1) 長度的影響

*先分析一定 D × H 條件下,L 變化時傳感器內的權函數分布情況。由於傳感器異徑管部分高度 H 越小信號越強,但壓損也越大,因此,H 設置為 30 ~ 50 mm; 異徑管寬度 D 越大壓損越小,但寬度越大傳感器體積也越大,所以, D 設置為 60 ~ 90 mm; 異徑管段上下需要放置激勵線圈,同時異徑段前後需要有一定長度的過渡段來穩定流型,因此, L 設置為 60 ~ 120 mm。一共分析了 6 組 D × H 尺寸的傳感器權函數分布隨 L 的變化情況,如表 2 所示。由於電*截麵內的權函數分布對感應電動勢影響*大,因 此,利 用式( 10) 計算電*截麵 xy 平麵內的權函數整體均勻度 R。定義相同 D × H 條件下,權函數均勻度隨 L 變化的波動率為 ML,如下

計算多組相同 D × H、不同 L 時 xy 平麵的權函數整體均勻度 R 及波動率 ML,如表 1 所示。

通過表 1 分析可知,隨著 L 的變化,權函數波動率ML≤ ±2. 5 % ,所以 xy 平麵內的權函數整體均勻度變化較小,即長度 L 對電*截麵內的權函數分布影響很小。
2) 寬度和高度的影響
通過上述分析可知,L 對傳感器內的權函數分布影響很小,因此固定設置 L 為 80 mm。然後分析異徑段 D,H 同時變化時的權函數分布情況。由上節可知,矩形異徑截麵的 D 設置為 60 ~ 90 mm,H 設置為 30 ~ 50 mm。為了便於分析三維權函數與 D,H 的變化關係,設置 H 與 D 變化步長都是 10 mm,因此,H 變化範圍為 30 ~ 60 mm,即 D = { 60,70, 80,90 mm} ,H = { 30,40,50,60 mm} ,一共 16 組異徑注91看片视频免费傳感器結構。
分別對上述結構進行有限元分析,根據式( 10) 計算 xy平麵內權函數整體均勻度 R,根據式( 11) 計算權函數隨 H變化的波動率 MH,隨 D 變化的波動率 MD,結果如表 2 所 示。

根據表 1 和表 2 權函數均勻度的波動率數值可以看出,MH > MD > ML,所以,矩形段 L,D,H 對於權函數均勻度的影響程度是依次增強的,高度 H 對權函數均勻度影響*大,寬度 D 影響稍小,長度 L 影響很小。且 D 和 H 越小,權函數整體均勻度 R 越小,權函數分布越均勻。
為了更加全麵地比較權函數在三維空間的分布情況,從上述結構中選取 D × H = { 90 × 30,60 × 30,60 × 60} 三組典型結構,分析其權函數在 xy,xz,yz 三個平麵內的分布情況。為了便於對比,統一規定三個平麵內等勢線的分布步長和數值範圍: 1) xy,xz 平麵內的權函數等勢線大小以0. 25為步長,從 0 增加到 30; 2) 由於 yz 平麵的權函數小於1,規定 yz 平麵內的權函數等勢線大小以 0. 05 為步長,從 0增加到 1。具體如圖 3 ~ 圖 5 所示

通過對圖 3 ~ 圖 5 分析得出以下結論: 1) 圖 3( a) 、圖 4( a) 的 xy 麵權函數分布表明,D = 90 mm時中心區域的權函數等勢線間距較大,即權函數變化梯度較小,且中心區域的權函數等勢線逐漸變為直線,因此中心區域的權函數分布更均勻; 但 D = 90 mm 時,電*附近的權函數等勢線較密,且等勢線顏色較深,權函數*大值較大,變化梯度較大,所以,電*附近的權函數分布均勻性較差。因為難以直接衡量 D 改變時,xy 麵權函數分布的均勻性。所以,需要利用權函數整體均勻度 R 定量確定 xy 平麵內權函數分布的均勻性。結果表明,隨著寬度 D 的減小,權函數分布越來越均勻。
2) 圖 4( a) 、圖 5( a) 的 xy 麵權函數分布表明,H = 30 mm時中心區域的權函數等勢線間距較大,且中心區域的權函數等勢線逐漸變為直線; 電*附近的權函數等勢線比較稀疏,且等勢線顏色較淺,權函數*大值較小,變化梯度小,因 此,H = 30 mm 時 xy 麵的權函數分布更加均勻。

3) 圖 3( b) ~ 5( b) 的 xz 麵權函數分布表明,三組異徑結構的權函數分布情況類似,沒有明顯的區別,即 D 和 H的變化對 xz 麵的權函數分布影響較小。
4) 圖 3( c) 、圖 4( c) 的 yz 麵權函數分布表明,D = 90 mm時的權函數等勢線間距略大於 D = 60 mm 時的權函數等勢線間距,權函數變化梯度較小,且中心區域的權函數等勢線逐漸變為直線,因此 D = 90 mm 的權函數分布更均勻一些,但是兩者區別很小,即寬度改變對 yz 麵權函數分布影響很小。圖 4( c) 、圖 5( c) 的 yz 麵權函數分布表明,H = 30 mm時的權函數等勢線間距較大,且中心區域的權函數等勢線逐漸變為直線,因此 H = 30 mm 的權函數分布更加均勻;
5) 圖 3( a) ~ 5( a) 和圖 3( b) ~ 5( b) 權函數分布結果表明,越靠近電*,等勢線顏色越深,即權函數值越大,且越靠近電*,權函數等勢線越密集,即權函數變化梯度越大。

綜上所述,異徑電磁水表異徑段長度 L 對權函數分布的均勻性影響很小,隨著長度 L 的改變,權函數分布基本沒有變化; 異徑段高度 H 對權函數分布的均勻性影響*大,寬度 D 影響稍小,高度和寬度越小,權函數分布越均勻,即異徑注91看片视频免费傳感器的測量精確度受非理想流場的影響越小。
3 結 論
1) 圓形、正方形、八邊形和矩形等 4 種異徑注91看片视频免费傳感器的權函數分析結果表明,矩形異徑截麵傳感器的權函數分布*均勻。
2) 電*附近區域,權函數值較大,且權函數變化梯度較大,隨著遠離電*,權函數值越來越小,且權函數變化梯度越來越小。
3) 矩形段高度 H 對權函數分布的均勻性影響*大,隨 著 H 的減小,權函數分布越來越均勻,且 y 軸權函數的分布逐漸趨近於常數 1。矩形段寬度 D 對權函數分布的均勻性影響稍小,隨著 D 的減小,權函數分布越來越均勻。矩形段長度 L 對傳感器內的權函數分布影響很小,隨著 L 的改變,權函數分布沒有明顯變化。
引言
異徑注91看片视频免费傳感器由於安裝空間狹小、前後沒有理想直管段,管道內被測流場通常是非理想流場,將導致測量值與真實值存在較大偏差、影響計量精度。為提高非理想流場的測量性能,需要研究合適的異徑截麵形狀和尺寸,以提高傳感器內權函數分布的均勻度。然而國內外相關的研究較少。ShercliffJA和BevirMK等人*次提出和深化了注91看片视频免费的權函數理論。衛開夏等人利用ANSYS有限元軟件求解非滿管注91看片视频免费的權函數分布。孔令富等人使用MATLAB軟件中的PDE工具箱對權函數進行有限元求解。王月明等人基於ANSYS對含有非導電物質時的注91看片视频免费進行有限元分析。李雪菁采用COMSOLMultiphysics有限元軟件求解非絕緣管注91看片视频免费的權函數分布。王經卓等人基於COMSOL軟件,利用流體像素的方法求解注91看片视频免费權函數的分布。上述文獻主要針對圓管注91看片视频免费傳感器點電*的二維權函數進行分析,其研究結果與實際三維情況存在偏差。同時,尚未有人針對異徑注91看片视频免费傳感器三維權函數的分布規律進行研究。由於無可參考的非理想流場測量工況的理論依據,研發人員無法確定究竟何種異徑截麵有助於提高權函數均勻度,也無法確定哪一種尺寸有助於提高權函數均勻度。針對這一問題,本文從理論上研究權函數與耦合電動勢關係,確定提高權函數分布均勻度有助於非理想流場測量。通過COMSOL軟件采用電場模擬法,分析4種不同異徑截麵注91看片视频免费傳感器的權函數分布均勻度,確定較優的異徑截麵形狀。針對優選異徑截麵形狀的圓電*注91看片视频免费傳感器,研究權函數分布均勻度與異徑段長寬高之間的規律。所得結論為異徑注91看片视频免费傳感器的測量管結構尺寸設計提供了一定的參考,也為提高異徑注91看片视频免费傳感器的非理想流場測量性能提供了理論依據。
1、注91看片视频免费傳感器檢測原理
當導電性液體在磁場中作切割磁力線運動時,液體中有感應電流產生。假定液體的電導率δ是均勻、各向同性的,則歐姆定律的普遍公式寫作

式中j→為電流密度矢量,為通過液體單位麵積的電流,A/m2;E→為電場強度矢量,V/m;v→為流體速度,m/s;B→為磁感應強度,T。當激勵電流角頻率ω不大時,流體中的位移電流完全可以忽略,即

將式(2)帶入式(1)得注91看片视频免费傳感器的基本測量方程

式中U為感應電動勢,V;2為拉普拉斯算子;為哈密頓算子。
通常借助Green函數G來求解微分方程(3),G滿足Laplace方程

根據傳感器的管道形狀和電絕緣邊界條件,建立了完整形式的注91看片视频免费傳感器基本方程

式中V為注91看片视频免费傳感器測量空間;W→為權函數。在直角坐標係(x,y,z)中,式(5)可以轉換為

若磁感應強度在傳感器有效工作區間內分布均勻,則磁感應強度B=By,Bx=Bz=0,式(6)可以化為

當流速為軸向流時,即v=-vz,vx=vy=0;則式(7)表示為

同時,若傳感器內的權函數分布均勻,Wx=W,則式(8)變為

傳感器內的權函數分布均勻時,感應電動勢大小隻與流速積分值成正比,不依賴於流型的分布,有利於非理想流場的精確測量。
2權函數仿真與分析
注91看片视频免费傳感器內的流體微元切割磁力線產生感應的電勢和電位,相當於一個個微小的“電源”。某一點的權函數應為該點微元作為“電源”所產生的電位梯度與電*間電位差之比。所以,可以采用電場模擬法測定權函數:傳感器空間內充滿導電液體(一般為水),在電*處施加一定的電壓,便會在導電介質中形成一個電場,測得各點的電場強度,並除以中心點的電場強度,即得到歸一化後的權函數值,將其繪製成等值線圖便可得到權函數分布圖。
2.1仿真方法
基於電場模擬法,選擇COMSOLMultiphysics有限元仿真軟件求解權函數步驟如下:
1)使用AC/DC模塊中的電流應用程序模式,圓管半徑為32mm,點電*半徑0.4mm,仿真模型為二維模型;
2)電*材質設置為金屬銅,導電液體為水,電導率為1×10-4S/m;
3)測量管具有絕緣襯裏,滿足電絕緣邊界條件n→×j→=0,左右電*分別施加1,-1V的電壓;
4)劃分四邊形網格,為了保證仿真結果的精確度,選擇*細化網格;
5)使用穩態求解器進行計算,得到各點處的電場強度,並除以中心點處的電場強度,得到歸一化後的權函數值。
2.2結果分析
2.2.1不同異徑麵的影響
為考察不同異徑截麵權函數分布的均勻性,使用上述方法對圓形、正方形、八邊形和矩形異徑截麵的權函數分布進行定性分析。為了便於對比,設置管道口徑為DN100,異徑部分截麵積為3200mm2。所以,圓形異徑麵半徑為32mm,正方形異徑麵邊長為56.6mm,八邊形異徑麵邊長為25.8mm,矩形異徑麵長寬為80×40mm。仿真結果如圖1所示,為了便於對比,權函數等勢線大小從0開始,以0.25為步長遞增到30。由圖1(a)~圖1(d)可知,矩形異徑截麵的權函數等勢線間距*大,即權函數變化梯度*小,權函數分布*均勻。

為了客觀評價不同異徑截麵內權函數分布的均勻程度,采用整體均勻度來定量衡量權函數的均勻性,設電*截麵內每個節點的權函數值為 Wk,相應截麵的權函數平均值為 W0,則電*截麵內權函數的整體均勻度 R 為

通過式( 10) 計算得到圓形、正方形、八邊形、矩形 4 種
不同異徑截麵權函數分布的整體均勻度分別為 1. 811 2, 1. 996 9,1. 915 0,1. 563 9。
綜上所述,矩形異徑結構的權函數分布*均勻,所以,異徑注91看片视频免费傳感器采用矩形異徑的管道結構,該結構權函數分布比較均勻,能夠減少非理想流場引入的測量誤差。在實際生產實踐過程中,權函數分布與矩形段長 L、寬 D、 高 H 有關,因此,開展了矩形異徑圓電*注91看片视频免费傳感器的三維權函數建模分析,*終得到一種權函數分布比較均勻的結構尺寸。
2. 2. 2 三維權函數分布
使用 Pro /E 軟件建立三維幾何模型,導入 COMSOL 軟件進行有限元求解。仿真模型如圖 2 所示,電*連線為x 軸,連線中點為坐標原點,流體運動方向為 z 軸,傳感器管道口徑為 DN100,總長250 mm。異徑管部分初始結構尺寸 L = 80 mm,D = 80 mm,H = 40 mm,圓形電*半徑為17 mm,伸出絕緣襯裏的*大距離為 1. 5 mm。
1) 長度的影響

*先分析一定 D × H 條件下,L 變化時傳感器內的權函數分布情況。由於傳感器異徑管部分高度 H 越小信號越強,但壓損也越大,因此,H 設置為 30 ~ 50 mm; 異徑管寬度 D 越大壓損越小,但寬度越大傳感器體積也越大,所以, D 設置為 60 ~ 90 mm; 異徑管段上下需要放置激勵線圈,同時異徑段前後需要有一定長度的過渡段來穩定流型,因此, L 設置為 60 ~ 120 mm。一共分析了 6 組 D × H 尺寸的傳感器權函數分布隨 L 的變化情況,如表 2 所示。由於電*截麵內的權函數分布對感應電動勢影響*大,因 此,利 用式( 10) 計算電*截麵 xy 平麵內的權函數整體均勻度 R。定義相同 D × H 條件下,權函數均勻度隨 L 變化的波動率為 ML,如下

計算多組相同 D × H、不同 L 時 xy 平麵的權函數整體均勻度 R 及波動率 ML,如表 1 所示。

通過表 1 分析可知,隨著 L 的變化,權函數波動率ML≤ ±2. 5 % ,所以 xy 平麵內的權函數整體均勻度變化較小,即長度 L 對電*截麵內的權函數分布影響很小。
2) 寬度和高度的影響
通過上述分析可知,L 對傳感器內的權函數分布影響很小,因此固定設置 L 為 80 mm。然後分析異徑段 D,H 同時變化時的權函數分布情況。由上節可知,矩形異徑截麵的 D 設置為 60 ~ 90 mm,H 設置為 30 ~ 50 mm。為了便於分析三維權函數與 D,H 的變化關係,設置 H 與 D 變化步長都是 10 mm,因此,H 變化範圍為 30 ~ 60 mm,即 D = { 60,70, 80,90 mm} ,H = { 30,40,50,60 mm} ,一共 16 組異徑注91看片视频免费傳感器結構。
分別對上述結構進行有限元分析,根據式( 10) 計算 xy平麵內權函數整體均勻度 R,根據式( 11) 計算權函數隨 H變化的波動率 MH,隨 D 變化的波動率 MD,結果如表 2 所 示。

根據表 1 和表 2 權函數均勻度的波動率數值可以看出,MH > MD > ML,所以,矩形段 L,D,H 對於權函數均勻度的影響程度是依次增強的,高度 H 對權函數均勻度影響*大,寬度 D 影響稍小,長度 L 影響很小。且 D 和 H 越小,權函數整體均勻度 R 越小,權函數分布越均勻。
為了更加全麵地比較權函數在三維空間的分布情況,從上述結構中選取 D × H = { 90 × 30,60 × 30,60 × 60} 三組典型結構,分析其權函數在 xy,xz,yz 三個平麵內的分布情況。為了便於對比,統一規定三個平麵內等勢線的分布步長和數值範圍: 1) xy,xz 平麵內的權函數等勢線大小以0. 25為步長,從 0 增加到 30; 2) 由於 yz 平麵的權函數小於1,規定 yz 平麵內的權函數等勢線大小以 0. 05 為步長,從 0增加到 1。具體如圖 3 ~ 圖 5 所示

通過對圖 3 ~ 圖 5 分析得出以下結論: 1) 圖 3( a) 、圖 4( a) 的 xy 麵權函數分布表明,D = 90 mm時中心區域的權函數等勢線間距較大,即權函數變化梯度較小,且中心區域的權函數等勢線逐漸變為直線,因此中心區域的權函數分布更均勻; 但 D = 90 mm 時,電*附近的權函數等勢線較密,且等勢線顏色較深,權函數*大值較大,變化梯度較大,所以,電*附近的權函數分布均勻性較差。因為難以直接衡量 D 改變時,xy 麵權函數分布的均勻性。所以,需要利用權函數整體均勻度 R 定量確定 xy 平麵內權函數分布的均勻性。結果表明,隨著寬度 D 的減小,權函數分布越來越均勻。
2) 圖 4( a) 、圖 5( a) 的 xy 麵權函數分布表明,H = 30 mm時中心區域的權函數等勢線間距較大,且中心區域的權函數等勢線逐漸變為直線; 電*附近的權函數等勢線比較稀疏,且等勢線顏色較淺,權函數*大值較小,變化梯度小,因 此,H = 30 mm 時 xy 麵的權函數分布更加均勻。

3) 圖 3( b) ~ 5( b) 的 xz 麵權函數分布表明,三組異徑結構的權函數分布情況類似,沒有明顯的區別,即 D 和 H的變化對 xz 麵的權函數分布影響較小。
4) 圖 3( c) 、圖 4( c) 的 yz 麵權函數分布表明,D = 90 mm時的權函數等勢線間距略大於 D = 60 mm 時的權函數等勢線間距,權函數變化梯度較小,且中心區域的權函數等勢線逐漸變為直線,因此 D = 90 mm 的權函數分布更均勻一些,但是兩者區別很小,即寬度改變對 yz 麵權函數分布影響很小。圖 4( c) 、圖 5( c) 的 yz 麵權函數分布表明,H = 30 mm時的權函數等勢線間距較大,且中心區域的權函數等勢線逐漸變為直線,因此 H = 30 mm 的權函數分布更加均勻;
5) 圖 3( a) ~ 5( a) 和圖 3( b) ~ 5( b) 權函數分布結果表明,越靠近電*,等勢線顏色越深,即權函數值越大,且越靠近電*,權函數等勢線越密集,即權函數變化梯度越大。

綜上所述,異徑電磁水表異徑段長度 L 對權函數分布的均勻性影響很小,隨著長度 L 的改變,權函數分布基本沒有變化; 異徑段高度 H 對權函數分布的均勻性影響*大,寬度 D 影響稍小,高度和寬度越小,權函數分布越均勻,即異徑注91看片视频免费傳感器的測量精確度受非理想流場的影響越小。
3 結 論
1) 圓形、正方形、八邊形和矩形等 4 種異徑注91看片视频免费傳感器的權函數分析結果表明,矩形異徑截麵傳感器的權函數分布*均勻。
2) 電*附近區域,權函數值較大,且權函數變化梯度較大,隨著遠離電*,權函數值越來越小,且權函數變化梯度越來越小。
3) 矩形段高度 H 對權函數分布的均勻性影響*大,隨 著 H 的減小,權函數分布越來越均勻,且 y 軸權函數的分布逐漸趨近於常數 1。矩形段寬度 D 對權函數分布的均勻性影響稍小,隨著 D 的減小,權函數分布越來越均勻。矩形段長度 L 對傳感器內的權函數分布影響很小,隨著 L 的改變,權函數分布沒有明顯變化。

