產品目錄
91看片儿免费看
液體流量計
91看片视频免费
油流量計
91看片网站下载
橢圓齒輪流量計
電磁流量計
渦街流量計
蒸汽流量計
孔板流量計
旋進旋渦流量計
熱式氣體質量流量計
轉子流量計
浮子流量計
靶式流量計
氣體流量計
超聲波流量計
磁翻板液位計
浮子液位計
浮球液位計
玻璃管液位計
雷達液位計
超聲波液位計
投入式液位計
壓力變送器
差壓變送器
液位變送器
溫度變送器
熱電偶
熱電阻
雙金屬溫度計
推薦產品
聯係91看片下载免费观看
- 金湖91看片下载免费观看儀表有限公司
- 聯係電話:15195518515
- 在線客服:1464856260
- 電話:0517-86801009
- 傳真號碼:0517-86801007
- 郵箱:1464856260@qq.com
- 網址:http://www.zhongtaijixie.net
- 地址:江蘇省金湖縣理士大道61號
探究礦泉91看片视频免费在人造絲生產中的應用
發布時間:2021-01-04 08:34:18 點擊次數:1934次
我廠年產3000噸人造長絲。原設計粘膠年時間運行,收到了較好的效果。計量為橢圓齒輪流量計。由於壓力損失過大。
礦泉91看片视频免费是利用電磁感應原理製成的在投產沒多久就取掉了。現91看片下载免费观看選用了開封流量計。壓力損失小。不易堵塞。輸出信號儀表廠生產的Dmag型礦泉91看片视频免费二經一僅與流體平均流速有關。與粘度、密度、溫度等無關,測量精度高。現將我廠所用流量計介紹如下:
一、礦泉91看片视频免费的選型:粘膠粘度為4aP·5。比重為L12。班道過濾後的粘膠經DglOO的管道送人紡絲,該流量計安裝於過濾後的送膠管路上。
1.變送器口徑的選擇:
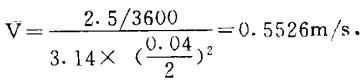
礦泉91看片视频免费要求流體流速在。5米/秒以上。我廠粘膠長絲年產量在3000噸左右,南北紡區粘膠瞬時流量為2.5m3h/。若選擇通徑DN為40毫米的流量計。平均流速滿足要求。

2.考慮粘膠具有一定腐蝕性和長期穩定運行的需要。襯裏材料選擇聚四氟乙烯·電*材料選擇哈氏合金B。
3.選擇分離型,配數字型轉換器。
二、礦泉91看片视频免费的安裝:
1.未加旁路。流量計直接安裝於主管路上。
因傳感器部分主要由測量導管、電*、勵磁線圈、鐵芯等組成,該部分不易出故障。若接於旁路管上。粘膠在一定時間內會凝固。操作工每天需定時開啟閥1.會帶來:①粘膠計量不準確。②操作會更麻煩。
2.變送器在安裝時,傳感器上遊側至少應有5倍管徑長度的直管段,傳感器下遊側應有2倍管徑長度的直管段。直管段後*好為漸縮管,其圓錐角不應大於15。
3.為了提高整個係統的抗幹擾能力。變送器與轉換器間需用屏蔽電纜連接,信號電纜兩邊的外露部分需保持*短。該電纜必須遠離動力電纜。
4.流量計測量導管的金屬管體和粘膠應同為地電位、接地係統的接地電阻應小於10n。
三、礦泉91看片视频免费的投運:

四、運行情況:
兩台礦泉91看片视频免费已運行了一年時間,運轉良好。誤差在允許範圍以內。該數字轉換器具有瞬時流量顯示和累積流量顯示。不僅給總廠成本核算提供了一個準確的數據,也給脫泡間操作工帶來了很大的方便。流量計投人運行沒多久的一天中午,北紡的瞬時流量達到4.17m,h/。原計劃紡3個小時的粘膠.現1.5個小時就會紡完,有了該表的準確顯示。未造成紡絲斷頭的重大事故。
礦泉91看片视频免费是利用電磁感應原理製成的在投產沒多久就取掉了。現91看片下载免费观看選用了開封流量計。壓力損失小。不易堵塞。輸出信號儀表廠生產的Dmag型礦泉91看片视频免费二經一僅與流體平均流速有關。與粘度、密度、溫度等無關,測量精度高。現將我廠所用流量計介紹如下:
一、礦泉91看片视频免费的選型:粘膠粘度為4aP·5。比重為L12。班道過濾後的粘膠經DglOO的管道送人紡絲,該流量計安裝於過濾後的送膠管路上。
1.變送器口徑的選擇:
礦泉91看片视频免费要求流體流速在。5米/秒以上。我廠粘膠長絲年產量在3000噸左右,南北紡區粘膠瞬時流量為2.5m3h/。若選擇通徑DN為40毫米的流量計。平均流速滿足要求。

2.考慮粘膠具有一定腐蝕性和長期穩定運行的需要。襯裏材料選擇聚四氟乙烯·電*材料選擇哈氏合金B。
3.選擇分離型,配數字型轉換器。
二、礦泉91看片视频免费的安裝:
1.未加旁路。流量計直接安裝於主管路上。
因傳感器部分主要由測量導管、電*、勵磁線圈、鐵芯等組成,該部分不易出故障。若接於旁路管上。粘膠在一定時間內會凝固。操作工每天需定時開啟閥1.會帶來:①粘膠計量不準確。②操作會更麻煩。
2.變送器在安裝時,傳感器上遊側至少應有5倍管徑長度的直管段,傳感器下遊側應有2倍管徑長度的直管段。直管段後*好為漸縮管,其圓錐角不應大於15。
3.為了提高整個係統的抗幹擾能力。變送器與轉換器間需用屏蔽電纜連接,信號電纜兩邊的外露部分需保持*短。該電纜必須遠離動力電纜。
4.流量計測量導管的金屬管體和粘膠應同為地電位、接地係統的接地電阻應小於10n。
三、礦泉91看片视频免费的投運:

四、運行情況:
兩台礦泉91看片视频免费已運行了一年時間,運轉良好。誤差在允許範圍以內。該數字轉換器具有瞬時流量顯示和累積流量顯示。不僅給總廠成本核算提供了一個準確的數據,也給脫泡間操作工帶來了很大的方便。流量計投人運行沒多久的一天中午,北紡的瞬時流量達到4.17m,h/。原計劃紡3個小時的粘膠.現1.5個小時就會紡完,有了該表的準確顯示。未造成紡絲斷頭的重大事故。

