產品目錄
91看片儿免费看
液體流量計
91看片视频免费
油流量計
91看片网站下载
橢圓齒輪流量計
電磁流量計
渦街流量計
蒸汽流量計
孔板流量計
旋進旋渦流量計
熱式氣體質量流量計
轉子流量計
浮子流量計
靶式流量計
氣體流量計
超聲波流量計
磁翻板液位計
浮子液位計
浮球液位計
玻璃管液位計
雷達液位計
超聲波液位計
投入式液位計
壓力變送器
差壓變送器
液位變送器
溫度變送器
熱電偶
熱電阻
雙金屬溫度計
推薦產品
聯係91看片下载免费观看
- 金湖91看片下载免费观看儀表有限公司
- 聯係電話:15195518515
- 在線客服:1464856260
- 電話:0517-86801009
- 傳真號碼:0517-86801007
- 郵箱:1464856260@qq.com
- 網址:http://www.zhongtaijixie.net
- 地址:江蘇省金湖縣理士大道61號
空氣和高壓天然氣實流標定氣體智能渦輪流量計的差異性
發布時間:2021-01-17 15:29:38 點擊次數:1822次
摘要:隨著天然氣供求量的高速增長,**級天然氣實流檢定站的產能無法滿足城市管網和地區輸配氣幹線上中、高壓天然氣流量計的周期性檢定的需求,大量涉及貿易結算的氣體智能渦輪流量計隻能被送至法定計量檢定機構在常壓空氣下標定,對於其檢定結論和校準數據是否適用則存在著爭議。為此,分別在常壓(0.1MPa)空氣流量標準裝置和德國**高壓(2.5MPa和5MPa)天然氣流量標準裝置上對32台氣體智能渦輪流量計進行了實流標定,引入氣體智能渦輪流量計擴展校準模型,並基於雷諾數對誤差作了對比分析。研究結果表明:
①常壓和高壓下的誤差線分別位於兩個不同的流動特征區域,不具有可比性;
②在分界流量以上區域,氣體智能渦輪流量計的誤差僅隨雷諾數而變化;
③在各段壓力工況中,存在著誤差接近的雷諾數重疊區;
④工況壓力增加,所對應的誤差數據可以被認為是對氣體智能渦輪流量計準確度性能的連續延拓;
⑤不同的工作介質對氣體智能渦輪流量計的性能沒有明顯的影響。結論認為,常壓空氣下的標定數據不能用於0.4MPa以上工況流量計的檢定和校準,在壓力限製條件下使用空氣標定高壓天然氣流量計是一種可行的方案。
引言
天然氣是優質高效、綠色清潔的低碳能源,隨著經濟發展、能源消費增長和二氧化碳減排要求日趨嚴格,有效開發、利用天然氣已經成為我國推進能源生產和消費革命的重要路徑之一。預計到2020年我國天然氣的表觀消費量將超過3500×108m3,進口天然氣量將超過1200×108m3。提高天然氣貿易交接計量準確度是客觀公正地維護貿易雙方合法經濟利益的關鍵。
氣體智能渦輪流量計因其準確度高、重複性好、無零點漂移、抗幹擾性強、量程範圍寬的特點,被廣泛用於天然氣貿易交接,但其缺點之一是流體的物性對流量特性影響較大,不同介質、不同工況所導致的氣體物性變化對氣體智能渦輪流量計的準確度有影響;另一個缺點是不能長期保持校準特性,伴隨著輸氣係統管道網絡的大規模建設,必須定期對用於天然氣貿易結算的流量計進行實流標定。
目前國內實流標定流量計主要有兩種方式:
①以天然氣為工作介質的直排方案,利用輸氣管線上遊的自身壓力和氣量,在正壓下標定流量計,之後工作介質進入低壓管線或下遊低壓區;
②以空氣為工作介質在常壓下標定。為了盡可能接近天然氣流量計的實際工況,我國建立了9個**石油天然氣大流量計量站(截至2019年7月)用於解決高壓天然氣流量計的實流標定與量傳溯源問題。然而,隨著天然氣供求的高速增長,上述**級天然氣實流檢定站的產能無法滿足城市管網和地區輸配氣幹線上中高壓天然氣流量計的周期性檢定需求。大量涉及貿易結算、屬強製檢定範疇的氣體智能渦輪流量計的準確性和有效性無法得到保證,隻能送至法定計量檢定機構在常壓空氣下標定。因此,氣體智能渦輪流量計在不同介質、不同工況條件下的準確度差異受到了天然氣工業和流量測量學術界的關注。特別是使用常壓空氣標定的數據結果或檢定結論是否適用於天然氣氣體智能渦輪流量計存在爭議。
1 實驗工況條件
2015-2018年,某研究院對兩家生產商共32台進口天然氣氣體智能渦輪流量計實施檢定,流量計入關前都在德國**高壓天然氣流量標準裝置(Pigsar)進行了實流標定,其中製造商A提供了8台DN200mm流量計(標定壓力為2.1MPa),製造商B提供了10台DN150mm(標定壓力為5MPa)和14台DN250mm流量計(其中7台在2.4MPa壓力下標定,另7台在5MPa壓力下標定)。Pigsar的主標準器是9台氣體智能渦輪流量計,量程介於3~6500m3/h,裝置的擴展不確定度(Urel)為0.12%(包含因子k為2),流量標準值是荷蘭-法國-德國統一參考值(HarmonizedReferencevalsue)。某研究院使用臨界流文丘裏噴嘴法氣體流量標準裝置,工作介質是常壓空氣,量程介於2~4500m3/h,Urel為0.16%(包含因子k為2),16個噴嘴溯源到中國計量科學研究院的pVTt法氣體流量**基準。
盡管測量期較長,兩個標準裝置的工作介質和工況均比較穩定,天然氣裝置(Pigsar)的溫度介於17~20℃,當工作壓力介於2.3~2.4MPa時,天然氣動力黏度(μ)為1.18×10-5Pa·s;當工作壓力介於4.8~5.0MPa時,μ為1.28×10-5Pa·s。常壓空氣裝置的溫度介於19~21℃,實驗室壓力介於0.1003~0.1013MPa時,μ為1.81×10-5Pa·s。鑒於同一製造商相同口徑流量計的型號規格相同,篩選出具有代表性的標定數據,繪製成體積流量-誤差曲線,如圖1所示。

同**量計在高壓天然氣裝置與常壓空氣裝置下的誤差曲線存在差異,在分界流量點(qt)為0.2qmax以下時,常壓空氣下出現“駝峰區”,導致差異較大,駝峰點處非常大的差異達到0.7%。大口徑(DN250mm)氣體智能渦輪流量計在空氣裝置下的駝峰效應減弱,駝峰點處的差異減小。氣體智能渦輪流量計在高壓天然氣下的體積流量-誤差曲線基本呈現良好的線性趨勢,特別是在5MPa時,線性特征顯著。然而在常壓空氣工況下,某一類型的DN250mm流量計在駝峰點以下的誤差隨流量的減小急劇下降,導致高壓天然氣與常壓空氣的誤差非常大差異出現在非常小流量點及其附近的始動流量區,非常大相差1.4%。從圖
1所示的點對點誤差對比來看,不同的流量計規格、不同工作壓力下展現出來的兩條誤差曲線差異各不相同,有的差異並不大(0.1MPa空氣和2.4MPa天然氣的DN250mm流量計,差距甚至小於0.2%),有的差異超過1%,誤差曲線的形狀也完全不同,這樣的數據對比會導致爭議:根據常壓空氣下的標定結果能否判斷流量計是否合格,標定的數據能否用於校準該流量計。因此,引入氣體智能渦輪流量計擴展校準模型作進一步分析。
2 氣體智能渦輪流量計擴展校準模型Lee等
研究了流體密度、黏度對氣體智能渦輪流量計性能的影響,在此基礎上,美國**標準與技術研究院的Pope等和Wright等擴展了Lee模型,研究了低雷諾數下氣體智能渦輪流量計示值誤差隨工作介質運動黏度變化所呈現的扇形特征。該模型將基於角頻率(ω,rad/s)的流量計儀表係數(Kω,rad/m3)表示為對理想流量計儀表係數(Ki,rad/m3)的修正,如下所示:
http://www.jssanchang.com/d/file/hangye/873410acf764b7bc2dec3e607983b612.jpg
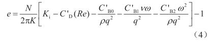
式中q表示體積流量,m3/s;ν表示介質的運動黏度,m2/s;雷諾數Re=4q/(πdν);d表示流量計口徑,m;ρ表示介質的密度,kg/m3;C'D、C'B0、C'B1和C'B2分別表示4個待定係數,在某個流量點下標定出的儀表係數(Kf,表示單位體積流體通過流量計時,流量計輸出的脈衝數,1/m3)和轉子葉片頻率(f,s-1)的關係為:

式中N表示轉子葉片數。
設流量計出廠標稱的儀表係數為K(1/m3),在該流量點下的示值誤差為e,則有

由式(1) ~(3)可得 :

式(4)中括號所示的修正包括4個部分,從中括號內*二項開始依次為:①僅和雷諾數有關的流體阻力項;②軸承靜態阻力項;③軸承黏性阻力項;④由於軸向推力和動態不平衡引起的軸承阻力項。於是修正項分成兩部分:流體阻力項和軸承阻力項,流體阻力項在分界流量以上的區域起主要作用,且僅與雷諾數有關,在不同的運動黏度(例如改變工作介質)下測得的誤差保持不變;軸承阻力項起主要作用的是分界流量以下的區域,因為阻力作用在轉子上,轉子受運動黏度的影響,所以在駝峰上升區,同一雷諾數下不同運動黏度的介質會導致誤差的差異,在雷諾數-誤差曲線上呈現扇形特征。
氣體智能渦輪流量計是根據工況體積流量發出脈衝或頻率,將雷諾數表達式代入式(4)可知,影響氣體智能渦輪流量計準確度的相關特性是運動黏度,而不是動力黏度。即使工質的動力黏度相近,由於運動黏度的密度依賴性,特別是天然氣(2.5MPa)與空氣(0.1MPa)之間25倍的壓力差,導致兩個工況的雷諾數存在顯著差異。所以,應當基於雷諾數,使兩個工況下的誤差對比符合流動相似準則的要求。
3 基於雷諾數的誤差對比與分析
圖2所示是上述氣體智能渦輪流量計基於雷諾數的誤差對比圖,兩條誤差線分別處於兩個不同的流動特征區域,並不具有可比性,而是反映了該流量計的準確度隨雷諾數變化的情況。此外,由於流量計的體積流量量程範圍一定而工況壓力不同,常壓雷諾數上限與高壓雷諾數的下限存在間隔,且工況壓力相差越小,間隔越小。隨著間隔差距縮小,誤差越來越接近,DN200mm和DN250mm(2.4MPa天然氣)流量計的誤差隨雷諾數呈現幾乎連續的變化,符合式(4)表征的物理意義,即:流體阻力項在分界流量以上的區域起主要作用,流量計示值誤差僅與雷諾數有關。若上述間隔的雷諾數差距在可接受的範圍內,則可以進行常壓空氣與高壓天然氣之間點對點的誤差比較,但是受當前實驗條件所限,圖2所示的數據並不支持這樣的對比。因此,增加了高壓空氣下的標定實驗。一台經過常壓空氣標定的DN100mm氣體智能渦輪流量計分別在德國一家企業的高壓空氣(1.6MPa、2.6MPa)環道(2~1600m3/h,Urel=0.20%,k=2)和德國**高壓天然氣流量標準裝置(Pigsar,5.1MPa)進行標定,誤差曲線如圖3-a所示。
0.1MPa常壓空氣的上限和2.6MPa高壓空氣的下限雷諾數差距為2.72×104,兩者對應的誤差相差0.24%,小於兩套裝置的合成擴展不確定度0.25%。3個空氣(0.1MPa、1.6MPa和2.6MPa)的測量結果出現兩段雷諾數重疊,重疊區內誤差僅有不到0.2%的差異。高壓空氣(2.6MPa)和高壓天然氣(5.1MPa)的部分誤差數據在點對點比較中差異小於0.1%。圖3-a中出現的數據段重疊,可以認為是流量計準確度性能的延拓。圖3-a還表明,壓力差異對流量計性能的影響顯著,與之相較,不同工作介質引起的差異很小。
圖3-b所示的是荷蘭**計量研究院提供的DN250mm氣體智能渦輪流量計在空氣(0.1MPa,0.8MPa)和天然氣(6.0MPa)下的測試數據,結果表明,流量計誤差隨雷諾數變化特征明顯,誤差在雷諾數介於2.72×104~3.14×105(常壓空氣-中壓空氣)和雷諾數介於(1.12~2.77)×106(中壓空氣-高壓天然氣)兩段有較好的重疊與銜接,基於雷諾數重疊可以估計其他相近壓力(或其他工作介質)的誤差曲線,但是在量程範圍以外,不能外推出誤差。鑒於氣體氣體智能渦輪流量計性能受壓力影響,GB/T21391-2008“用氣體氣體智能渦輪流量計測量天然氣流量”和歐洲標準EN12261“氣體智能渦輪流量計”特別強調:對用戶規定的工作壓力大於0.4MPa的流量計,需在一個或多個壓力下進行校準。如果用戶指定的工作壓力範圍的上限值小於或等於4倍的下限值,要求選定校準工作壓力p1,使[0.5p1,2.0p1]覆蓋用戶指定的工作壓力的上下限;當上限值大於下限值的4倍,需要增加一個壓力試驗點p2,且p1<p2,使[0.5p1,2.0p2]能夠覆蓋用戶指定的工作壓力的上下限。根據上述規定,如果用戶指定這台DN250mm的氣體智能渦輪流量計在0.8MPa和6.0MPa下工作,可以選定p1=1.6MPa和p2=3.0MPa作為校準工作壓力,根據上述雷諾數重疊區域的誤差數據銜接,可以估計該流量計在(0.8~6.0MPa)範圍內的誤差大小和變化趨勢。
4 結束語
影響氣體智能渦輪流量計準確度的相關特性是工作介質的運動黏度,由於運動黏度的密度依賴性,氣體氣體智能渦輪流量計的性能主要受到工況壓力的影響。如果兩個工況壓力相差大於4倍,那麽氣體智能渦輪流量計在相應工況下的誤差數據不具有可比性,所以常壓下的標定結果不能反映該流量計在0.4MPa以上工況的計量性能,標定的數據也不能用於流量計的校準。在分界流量以上區域,氣體智能渦輪流量計的誤差僅隨雷諾數變化,工況壓力增加所對應的誤差數據可以認為是對流量計準確度性能的連續延拓。因此,基於雷諾數重疊可以估計其他相近壓力(或其他工作介質)的誤差。
實驗結果並沒有發現不同的工作介質(例如天然氣和空氣)對氣體智能渦輪流量計的性能有明顯的影響,所以,在前述壓力限製條件下,使用空氣標定高壓天然氣流量計是一種可行的方案。目前**級天然氣實流檢定站都選址在主幹線附近,需要有穩定的氣源和低壓天然氣用戶,且直排方案投資巨大。而閉環式高壓空氣流量標準裝置具有以下優點:①不存在測試用氣體的排放問題;②沒有防爆問題的困擾;③流量調節、壓力調節和更換氣體等問題迎刃而解;④裝置維持成本和能耗都比較低,因而計量技術機構已經開始這方麵的研發工作,大批城市管網和地區輸配氣幹線上中高壓天然氣流量計的量傳溯源有望得到解決。
①常壓和高壓下的誤差線分別位於兩個不同的流動特征區域,不具有可比性;
②在分界流量以上區域,氣體智能渦輪流量計的誤差僅隨雷諾數而變化;
③在各段壓力工況中,存在著誤差接近的雷諾數重疊區;
④工況壓力增加,所對應的誤差數據可以被認為是對氣體智能渦輪流量計準確度性能的連續延拓;
⑤不同的工作介質對氣體智能渦輪流量計的性能沒有明顯的影響。結論認為,常壓空氣下的標定數據不能用於0.4MPa以上工況流量計的檢定和校準,在壓力限製條件下使用空氣標定高壓天然氣流量計是一種可行的方案。
引言
天然氣是優質高效、綠色清潔的低碳能源,隨著經濟發展、能源消費增長和二氧化碳減排要求日趨嚴格,有效開發、利用天然氣已經成為我國推進能源生產和消費革命的重要路徑之一。預計到2020年我國天然氣的表觀消費量將超過3500×108m3,進口天然氣量將超過1200×108m3。提高天然氣貿易交接計量準確度是客觀公正地維護貿易雙方合法經濟利益的關鍵。
氣體智能渦輪流量計因其準確度高、重複性好、無零點漂移、抗幹擾性強、量程範圍寬的特點,被廣泛用於天然氣貿易交接,但其缺點之一是流體的物性對流量特性影響較大,不同介質、不同工況所導致的氣體物性變化對氣體智能渦輪流量計的準確度有影響;另一個缺點是不能長期保持校準特性,伴隨著輸氣係統管道網絡的大規模建設,必須定期對用於天然氣貿易結算的流量計進行實流標定。
目前國內實流標定流量計主要有兩種方式:
①以天然氣為工作介質的直排方案,利用輸氣管線上遊的自身壓力和氣量,在正壓下標定流量計,之後工作介質進入低壓管線或下遊低壓區;
②以空氣為工作介質在常壓下標定。為了盡可能接近天然氣流量計的實際工況,我國建立了9個**石油天然氣大流量計量站(截至2019年7月)用於解決高壓天然氣流量計的實流標定與量傳溯源問題。然而,隨著天然氣供求的高速增長,上述**級天然氣實流檢定站的產能無法滿足城市管網和地區輸配氣幹線上中高壓天然氣流量計的周期性檢定需求。大量涉及貿易結算、屬強製檢定範疇的氣體智能渦輪流量計的準確性和有效性無法得到保證,隻能送至法定計量檢定機構在常壓空氣下標定。因此,氣體智能渦輪流量計在不同介質、不同工況條件下的準確度差異受到了天然氣工業和流量測量學術界的關注。特別是使用常壓空氣標定的數據結果或檢定結論是否適用於天然氣氣體智能渦輪流量計存在爭議。
1 實驗工況條件
2015-2018年,某研究院對兩家生產商共32台進口天然氣氣體智能渦輪流量計實施檢定,流量計入關前都在德國**高壓天然氣流量標準裝置(Pigsar)進行了實流標定,其中製造商A提供了8台DN200mm流量計(標定壓力為2.1MPa),製造商B提供了10台DN150mm(標定壓力為5MPa)和14台DN250mm流量計(其中7台在2.4MPa壓力下標定,另7台在5MPa壓力下標定)。Pigsar的主標準器是9台氣體智能渦輪流量計,量程介於3~6500m3/h,裝置的擴展不確定度(Urel)為0.12%(包含因子k為2),流量標準值是荷蘭-法國-德國統一參考值(HarmonizedReferencevalsue)。某研究院使用臨界流文丘裏噴嘴法氣體流量標準裝置,工作介質是常壓空氣,量程介於2~4500m3/h,Urel為0.16%(包含因子k為2),16個噴嘴溯源到中國計量科學研究院的pVTt法氣體流量**基準。
盡管測量期較長,兩個標準裝置的工作介質和工況均比較穩定,天然氣裝置(Pigsar)的溫度介於17~20℃,當工作壓力介於2.3~2.4MPa時,天然氣動力黏度(μ)為1.18×10-5Pa·s;當工作壓力介於4.8~5.0MPa時,μ為1.28×10-5Pa·s。常壓空氣裝置的溫度介於19~21℃,實驗室壓力介於0.1003~0.1013MPa時,μ為1.81×10-5Pa·s。鑒於同一製造商相同口徑流量計的型號規格相同,篩選出具有代表性的標定數據,繪製成體積流量-誤差曲線,如圖1所示。

同**量計在高壓天然氣裝置與常壓空氣裝置下的誤差曲線存在差異,在分界流量點(qt)為0.2qmax以下時,常壓空氣下出現“駝峰區”,導致差異較大,駝峰點處非常大的差異達到0.7%。大口徑(DN250mm)氣體智能渦輪流量計在空氣裝置下的駝峰效應減弱,駝峰點處的差異減小。氣體智能渦輪流量計在高壓天然氣下的體積流量-誤差曲線基本呈現良好的線性趨勢,特別是在5MPa時,線性特征顯著。然而在常壓空氣工況下,某一類型的DN250mm流量計在駝峰點以下的誤差隨流量的減小急劇下降,導致高壓天然氣與常壓空氣的誤差非常大差異出現在非常小流量點及其附近的始動流量區,非常大相差1.4%。從圖
1所示的點對點誤差對比來看,不同的流量計規格、不同工作壓力下展現出來的兩條誤差曲線差異各不相同,有的差異並不大(0.1MPa空氣和2.4MPa天然氣的DN250mm流量計,差距甚至小於0.2%),有的差異超過1%,誤差曲線的形狀也完全不同,這樣的數據對比會導致爭議:根據常壓空氣下的標定結果能否判斷流量計是否合格,標定的數據能否用於校準該流量計。因此,引入氣體智能渦輪流量計擴展校準模型作進一步分析。
2 氣體智能渦輪流量計擴展校準模型Lee等
研究了流體密度、黏度對氣體智能渦輪流量計性能的影響,在此基礎上,美國**標準與技術研究院的Pope等和Wright等擴展了Lee模型,研究了低雷諾數下氣體智能渦輪流量計示值誤差隨工作介質運動黏度變化所呈現的扇形特征。該模型將基於角頻率(ω,rad/s)的流量計儀表係數(Kω,rad/m3)表示為對理想流量計儀表係數(Ki,rad/m3)的修正,如下所示:
http://www.jssanchang.com/d/file/hangye/873410acf764b7bc2dec3e607983b612.jpg
式中q表示體積流量,m3/s;ν表示介質的運動黏度,m2/s;雷諾數Re=4q/(πdν);d表示流量計口徑,m;ρ表示介質的密度,kg/m3;C'D、C'B0、C'B1和C'B2分別表示4個待定係數,在某個流量點下標定出的儀表係數(Kf,表示單位體積流體通過流量計時,流量計輸出的脈衝數,1/m3)和轉子葉片頻率(f,s-1)的關係為:

式中N表示轉子葉片數。
設流量計出廠標稱的儀表係數為K(1/m3),在該流量點下的示值誤差為e,則有

由式(1) ~(3)可得 :

式(4)中括號所示的修正包括4個部分,從中括號內*二項開始依次為:①僅和雷諾數有關的流體阻力項;②軸承靜態阻力項;③軸承黏性阻力項;④由於軸向推力和動態不平衡引起的軸承阻力項。於是修正項分成兩部分:流體阻力項和軸承阻力項,流體阻力項在分界流量以上的區域起主要作用,且僅與雷諾數有關,在不同的運動黏度(例如改變工作介質)下測得的誤差保持不變;軸承阻力項起主要作用的是分界流量以下的區域,因為阻力作用在轉子上,轉子受運動黏度的影響,所以在駝峰上升區,同一雷諾數下不同運動黏度的介質會導致誤差的差異,在雷諾數-誤差曲線上呈現扇形特征。
氣體智能渦輪流量計是根據工況體積流量發出脈衝或頻率,將雷諾數表達式代入式(4)可知,影響氣體智能渦輪流量計準確度的相關特性是運動黏度,而不是動力黏度。即使工質的動力黏度相近,由於運動黏度的密度依賴性,特別是天然氣(2.5MPa)與空氣(0.1MPa)之間25倍的壓力差,導致兩個工況的雷諾數存在顯著差異。所以,應當基於雷諾數,使兩個工況下的誤差對比符合流動相似準則的要求。
3 基於雷諾數的誤差對比與分析
圖2所示是上述氣體智能渦輪流量計基於雷諾數的誤差對比圖,兩條誤差線分別處於兩個不同的流動特征區域,並不具有可比性,而是反映了該流量計的準確度隨雷諾數變化的情況。此外,由於流量計的體積流量量程範圍一定而工況壓力不同,常壓雷諾數上限與高壓雷諾數的下限存在間隔,且工況壓力相差越小,間隔越小。隨著間隔差距縮小,誤差越來越接近,DN200mm和DN250mm(2.4MPa天然氣)流量計的誤差隨雷諾數呈現幾乎連續的變化,符合式(4)表征的物理意義,即:流體阻力項在分界流量以上的區域起主要作用,流量計示值誤差僅與雷諾數有關。若上述間隔的雷諾數差距在可接受的範圍內,則可以進行常壓空氣與高壓天然氣之間點對點的誤差比較,但是受當前實驗條件所限,圖2所示的數據並不支持這樣的對比。因此,增加了高壓空氣下的標定實驗。一台經過常壓空氣標定的DN100mm氣體智能渦輪流量計分別在德國一家企業的高壓空氣(1.6MPa、2.6MPa)環道(2~1600m3/h,Urel=0.20%,k=2)和德國**高壓天然氣流量標準裝置(Pigsar,5.1MPa)進行標定,誤差曲線如圖3-a所示。
0.1MPa常壓空氣的上限和2.6MPa高壓空氣的下限雷諾數差距為2.72×104,兩者對應的誤差相差0.24%,小於兩套裝置的合成擴展不確定度0.25%。3個空氣(0.1MPa、1.6MPa和2.6MPa)的測量結果出現兩段雷諾數重疊,重疊區內誤差僅有不到0.2%的差異。高壓空氣(2.6MPa)和高壓天然氣(5.1MPa)的部分誤差數據在點對點比較中差異小於0.1%。圖3-a中出現的數據段重疊,可以認為是流量計準確度性能的延拓。圖3-a還表明,壓力差異對流量計性能的影響顯著,與之相較,不同工作介質引起的差異很小。
圖3-b所示的是荷蘭**計量研究院提供的DN250mm氣體智能渦輪流量計在空氣(0.1MPa,0.8MPa)和天然氣(6.0MPa)下的測試數據,結果表明,流量計誤差隨雷諾數變化特征明顯,誤差在雷諾數介於2.72×104~3.14×105(常壓空氣-中壓空氣)和雷諾數介於(1.12~2.77)×106(中壓空氣-高壓天然氣)兩段有較好的重疊與銜接,基於雷諾數重疊可以估計其他相近壓力(或其他工作介質)的誤差曲線,但是在量程範圍以外,不能外推出誤差。鑒於氣體氣體智能渦輪流量計性能受壓力影響,GB/T21391-2008“用氣體氣體智能渦輪流量計測量天然氣流量”和歐洲標準EN12261“氣體智能渦輪流量計”特別強調:對用戶規定的工作壓力大於0.4MPa的流量計,需在一個或多個壓力下進行校準。如果用戶指定的工作壓力範圍的上限值小於或等於4倍的下限值,要求選定校準工作壓力p1,使[0.5p1,2.0p1]覆蓋用戶指定的工作壓力的上下限;當上限值大於下限值的4倍,需要增加一個壓力試驗點p2,且p1<p2,使[0.5p1,2.0p2]能夠覆蓋用戶指定的工作壓力的上下限。根據上述規定,如果用戶指定這台DN250mm的氣體智能渦輪流量計在0.8MPa和6.0MPa下工作,可以選定p1=1.6MPa和p2=3.0MPa作為校準工作壓力,根據上述雷諾數重疊區域的誤差數據銜接,可以估計該流量計在(0.8~6.0MPa)範圍內的誤差大小和變化趨勢。
4 結束語
影響氣體智能渦輪流量計準確度的相關特性是工作介質的運動黏度,由於運動黏度的密度依賴性,氣體氣體智能渦輪流量計的性能主要受到工況壓力的影響。如果兩個工況壓力相差大於4倍,那麽氣體智能渦輪流量計在相應工況下的誤差數據不具有可比性,所以常壓下的標定結果不能反映該流量計在0.4MPa以上工況的計量性能,標定的數據也不能用於流量計的校準。在分界流量以上區域,氣體智能渦輪流量計的誤差僅隨雷諾數變化,工況壓力增加所對應的誤差數據可以認為是對流量計準確度性能的連續延拓。因此,基於雷諾數重疊可以估計其他相近壓力(或其他工作介質)的誤差。
實驗結果並沒有發現不同的工作介質(例如天然氣和空氣)對氣體智能渦輪流量計的性能有明顯的影響,所以,在前述壓力限製條件下,使用空氣標定高壓天然氣流量計是一種可行的方案。目前**級天然氣實流檢定站都選址在主幹線附近,需要有穩定的氣源和低壓天然氣用戶,且直排方案投資巨大。而閉環式高壓空氣流量標準裝置具有以下優點:①不存在測試用氣體的排放問題;②沒有防爆問題的困擾;③流量調節、壓力調節和更換氣體等問題迎刃而解;④裝置維持成本和能耗都比較低,因而計量技術機構已經開始這方麵的研發工作,大批城市管網和地區輸配氣幹線上中高壓天然氣流量計的量傳溯源有望得到解決。
相關資訊
- 91看片网站下载安裝直管段要求
- 91看片网站下载的結構與工作原理
- 91看片网站下载的產品特點和適用範圍
- 91看片网站下载選型指南與外形尺寸
- 91看片网站下载使用環境
- 91看片网站下载使用注意事項
- 91看片网站下载怎麽清洗
- 91看片网站下载適用範圍
- 91看片网站下载為什麽要加油
- 91看片网站下载波動大解決辦法
- 91看片网站下载安裝距離要求
- 91看片网站下载安裝注意事項
- 91看片网站下载應用範圍
- 91看片网站下载常見故障有哪些
- 提高91看片网站下载精度的方法
- 91看片网站下载精度等級
- 91看片网站下载的技術參數
- 91看片网站下载不準原因
- 91看片网站下载的優缺點
- 91看片网站下载的用途
- 91看片网站下载接線圖
- 91看片网站下载種類
- 用91看片网站下载測量天然氣流量
- 91看片网站下载的優點
- 91看片网站下载使用方法
- 91看片网站下载的選型表
- 91看片网站下载結構圖
- 影響91看片网站下载測量精度的因素及措施
- 91看片网站下载維護保養
- 91看片网站下载特點

