產品目錄
91看片儿免费看
液體流量計
91看片视频免费
油流量計
91看片网站下载
橢圓齒輪流量計
電磁流量計
渦街流量計
蒸汽流量計
孔板流量計
旋進旋渦流量計
熱式氣體質量流量計
轉子流量計
浮子流量計
靶式流量計
氣體流量計
超聲波流量計
磁翻板液位計
浮子液位計
浮球液位計
玻璃管液位計
雷達液位計
超聲波液位計
投入式液位計
壓力變送器
差壓變送器
液位變送器
溫度變送器
熱電偶
熱電阻
雙金屬溫度計
推薦產品
聯係91看片下载免费观看
- 金湖91看片下载免费观看儀表有限公司
- 聯係電話:15195518515
- 在線客服:1464856260
- 電話:0517-86801009
- 傳真號碼:0517-86801007
- 郵箱:1464856260@qq.com
- 網址:http://www.zhongtaijixie.net
- 地址:江蘇省金湖縣理士大道61號
衛生渦輪流量計在油水氣三相計量中應用研究
發布時間:2020-12-22 09:29:33 點擊次數:2064次
油井三相流的分離分相計量精度主要是受氣液分離程度和含水率計精度的影響。提出利用同軸線相位法環空找水儀和衛生渦輪流量計的響應函數來控製氣液分離, 其控製是基於神經網絡的自校正控製。含水率測量選用高精度的同軸線相位法含水率計, 這滿足了油井三相流的精確計量要求。
在油田生產過程參數 (如溫度、壓力等) 檢測中, 以流量和各相持率測量非常為複雜, 是較難測量的兩個參數, 引起了工程技術人員的興趣。隨著油田的發展, 被測對象不再局限於單相流, 而要對多相流、混合狀態的流量進行測量。測量多相流的技術難度要比單相流體的精確測量大的多, 知道單相流體的密度、粘度及測量裝置的幾何結構, 便可以對單相流進行定量分析。如果能利用多相流中每一相的上述各物理量對多相流進行測量的話, 就很方便。但很遺憾的是, 多相流體的特性遠比單相流體的特性複雜的多, 如各組分之間不能均勻混合、混合流體的異常性、流型轉變, 相對速度、流體性質、管道結構、流動方向等因素將導致渦輪流量傳感器響應特性的改變。
在單相流的條件下, 渦輪的轉速和流經它的體積流量成一單值線性函數, 在油水兩相流中, 隻要流量超過始動流量, 在允許的誤差範圍內, 渦輪的響應和體積流量也是成線性函數。
但在多相流動中, 即使在總流量保持不變的情況下, 混合流體的密度發生變化, 也會引起渦輪轉速的很大變化。混合流體經過氣液分離後, 利用成熟的單相流測量技術和相分率測量技術計量, 因此計量的不確定度主要受氣液分離程度的影響。基於此, 提出利用同軸線含水率計和衛生渦輪流量計的響應函數混合控製氣液分離器方法。
1 工作原理
衛生渦輪流量計是一速度式流量計, 它通過測定流體中渦輪的轉速來反映流量的大小。在管道中心放置一個渦輪, 當流體通過管道時衝擊渦輪葉片, 對渦輪產生驅動力矩, 使渦輪克服阻力矩而產生旋轉。在一定流量、黏度範圍內的流體介質中, 渦輪的旋轉角速度與流體的流速成正比。因此, 流體的流速可以通過渦輪的旋轉角速度求得, 進而通過換算可得出通過管道的流體流量。氣液兩相流時, 由於相比液相的速度高, 所以測量結果增大。同軸線相位法環空找水儀是通過測量電磁波在油水混合介質中傳播的相位差來測量含水率。當有氣的時候, 氣液混合介質的介電常數的增大, 使得同軸線相位法環空找水儀的響應值比液體的時候, 下降很多。當氣液分離完全的時候, 它的響應值就又上升到純液的時候的值, 據此判定, 氣液分離完全。
氣在氣液分離時利用衛生渦輪流量計和同軸線相位法環空找水儀的響應函數來控製氣液分離器將很好的減小測量的誤差。
神經網絡的自校正控製, 沒有參考模型, 而依靠在線遞推識別 (參數估計) 估計係統未知的參數, 以此來在線控製設計算法進行實時反饋控製。設單輸入單輸出線性係統為

式中:yk-1為對象輸出;uk為控製器輸出。
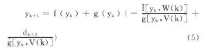
f (·) 和g (·) 未知, BP神經網絡通過學習算法可以逼近這些函數並重新自校正控製規律, 為簡單起見, 設被控製對象為一階係統, 即

通過神經網絡利用模型得

去逼近對象模型, 其中W=W[W0, W1, ……, W2P], V=[V0, V1, ……, V2q], 且有

相應的控製規律為

將式 (4) 代入式 (3) 可得

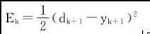
使得定義的輸出誤

為非常小, 於是有:小, 於是有:


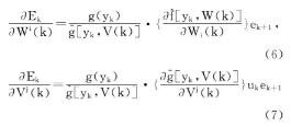
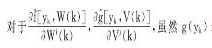
未知, 但其符號已知, 可用sgn[g (yk) ]代替g (yk) , 這樣就可以得到調整W (k) 和V (k) 的學習規則為

式中:ηk, μk分別為學習效率。
2 應用實例
水氣模擬環路中, 以清水模擬油井產出液, 以空氣模擬油井的分離氣。通過調節標準流量渦輪獲得標準流量。標準流量的水和一定量的氣體混合, 即得到混合液。混合液通過分離裝置, 經分離, 即可得到分離後的水的流量。在試驗中, 當含水率計的響應值為全水值時, 即表示分離完全, 且實驗選用的含水率計的全水值為4500Hz。神經網絡的結構選4-5-3, 學習速率ηk=0.78, μk=0.64, 加權係數初始值取區間[-0.5, 0., 5]上的隨機數。輸入指令信號為采樣得到的一路同軸線相位法找水率計信號, 輸出信號取衛生渦輪流量計的信號。
3 結束語
通過同軸線相位法含水率計和衛生渦輪流量計的響應函數來控製氣液分離, 可以實時監測調整, 基本達到完全分離的目的。
基於神經網絡的自校正控製, 可以有效的實現對氣液分離的實時控製。
此方法效果好, 現已在現場應用, 前景廣闊。
在油田生產過程參數 (如溫度、壓力等) 檢測中, 以流量和各相持率測量非常為複雜, 是較難測量的兩個參數, 引起了工程技術人員的興趣。隨著油田的發展, 被測對象不再局限於單相流, 而要對多相流、混合狀態的流量進行測量。測量多相流的技術難度要比單相流體的精確測量大的多, 知道單相流體的密度、粘度及測量裝置的幾何結構, 便可以對單相流進行定量分析。如果能利用多相流中每一相的上述各物理量對多相流進行測量的話, 就很方便。但很遺憾的是, 多相流體的特性遠比單相流體的特性複雜的多, 如各組分之間不能均勻混合、混合流體的異常性、流型轉變, 相對速度、流體性質、管道結構、流動方向等因素將導致渦輪流量傳感器響應特性的改變。
在單相流的條件下, 渦輪的轉速和流經它的體積流量成一單值線性函數, 在油水兩相流中, 隻要流量超過始動流量, 在允許的誤差範圍內, 渦輪的響應和體積流量也是成線性函數。
但在多相流動中, 即使在總流量保持不變的情況下, 混合流體的密度發生變化, 也會引起渦輪轉速的很大變化。混合流體經過氣液分離後, 利用成熟的單相流測量技術和相分率測量技術計量, 因此計量的不確定度主要受氣液分離程度的影響。基於此, 提出利用同軸線含水率計和衛生渦輪流量計的響應函數混合控製氣液分離器方法。
1 工作原理
衛生渦輪流量計是一速度式流量計, 它通過測定流體中渦輪的轉速來反映流量的大小。在管道中心放置一個渦輪, 當流體通過管道時衝擊渦輪葉片, 對渦輪產生驅動力矩, 使渦輪克服阻力矩而產生旋轉。在一定流量、黏度範圍內的流體介質中, 渦輪的旋轉角速度與流體的流速成正比。因此, 流體的流速可以通過渦輪的旋轉角速度求得, 進而通過換算可得出通過管道的流體流量。氣液兩相流時, 由於相比液相的速度高, 所以測量結果增大。同軸線相位法環空找水儀是通過測量電磁波在油水混合介質中傳播的相位差來測量含水率。當有氣的時候, 氣液混合介質的介電常數的增大, 使得同軸線相位法環空找水儀的響應值比液體的時候, 下降很多。當氣液分離完全的時候, 它的響應值就又上升到純液的時候的值, 據此判定, 氣液分離完全。
氣在氣液分離時利用衛生渦輪流量計和同軸線相位法環空找水儀的響應函數來控製氣液分離器將很好的減小測量的誤差。
神經網絡的自校正控製, 沒有參考模型, 而依靠在線遞推識別 (參數估計) 估計係統未知的參數, 以此來在線控製設計算法進行實時反饋控製。設單輸入單輸出線性係統為

式中:yk-1為對象輸出;uk為控製器輸出。
f (·) 和g (·) 未知, BP神經網絡通過學習算法可以逼近這些函數並重新自校正控製規律, 為簡單起見, 設被控製對象為一階係統, 即

通過神經網絡利用模型得

去逼近對象模型, 其中W=W[W0, W1, ……, W2P], V=[V0, V1, ……, V2q], 且有

相應的控製規律為

將式 (4) 代入式 (3) 可得

使得定義的輸出誤

為非常小, 於是有:小, 於是有:


未知, 但其符號已知, 可用sgn[g (yk) ]代替g (yk) , 這樣就可以得到調整W (k) 和V (k) 的學習規則為

式中:ηk, μk分別為學習效率。
2 應用實例
水氣模擬環路中, 以清水模擬油井產出液, 以空氣模擬油井的分離氣。通過調節標準流量渦輪獲得標準流量。標準流量的水和一定量的氣體混合, 即得到混合液。混合液通過分離裝置, 經分離, 即可得到分離後的水的流量。在試驗中, 當含水率計的響應值為全水值時, 即表示分離完全, 且實驗選用的含水率計的全水值為4500Hz。神經網絡的結構選4-5-3, 學習速率ηk=0.78, μk=0.64, 加權係數初始值取區間[-0.5, 0., 5]上的隨機數。輸入指令信號為采樣得到的一路同軸線相位法找水率計信號, 輸出信號取衛生渦輪流量計的信號。
3 結束語
通過同軸線相位法含水率計和衛生渦輪流量計的響應函數來控製氣液分離, 可以實時監測調整, 基本達到完全分離的目的。
基於神經網絡的自校正控製, 可以有效的實現對氣液分離的實時控製。
此方法效果好, 現已在現場應用, 前景廣闊。
相關資訊
- 關於常用衛生渦輪流量計的選型的案例分析說明
- 衛生型91看片儿免费看安裝時直管段長度與測量精度的關係
- 食品級流量計,食品級渦輪流量計
- 衛生級渦輪流量計,智能渦輪流量計價格
- 衛生型渦輪流量計,渦輪流量計儀表
- 衛生型91看片儿免费看在液氨及粗甲醇計量上的應用
- 衛生型91看片儿免费看,智能型91看片儿免费看
- 衛生型91看片儿免费看,液體智能渦輪流量計
- 衛生型91看片儿免费看
- 衛生渦輪流量計
- 衛生渦輪流量計,智能型渦輪流量計
- 衛生型渦輪流量計,防爆91看片儿免费看
- 衛生級渦輪流量計,智能型91看片儿免费看
- 衛生渦輪流量計,卡箍式渦輪流量計
- 衛生渦輪流量計表頭顯示出現故障的現象分析與解決措施
- 衛生型渦輪流量計的傳感器保養措施及內部部件的維護要點
- 衛生型91看片儿免费看在自來水廠測量中應用
- 衛生型91看片儿免费看對於介質粘度的要求及安裝要點
- 衛生級渦輪流量計在燃氣計量中的溫壓補償問題的相關分析
- 衛生型渦輪流量計廠家與流量積算儀如何正確地配合使用的方法
- 衛生型91看片儿免费看廠家精度探討
- 衛生型91看片儿免费看在選用安裝過程中的注意事項及故障處理
- 食品級渦輪流量計在測量管道流體脈動流時的特性規律
- 衛生型渦輪流量計,數顯渦輪流量計
- 衛生型渦輪流量計,91看片儿免费看價格
- 衛生渦輪流量計非常適合於任何低粘度的液體的測量
- 衛生渦輪流量計在油水氣三相計量中應用研究
- 綠色環保理念下的衛生渦輪流量計的設計思路探討
- 關於衛生渦輪流量計的故障分析及檢修對策
- 衛生型渦輪流量計的工藝流程簡介與數據驗證

