產品目錄
91看片儿免费看
液體流量計
91看片视频免费
油流量計
91看片网站下载
橢圓齒輪流量計
電磁流量計
渦街流量計
蒸汽流量計
孔板流量計
旋進旋渦流量計
熱式氣體質量流量計
轉子流量計
浮子流量計
靶式流量計
氣體流量計
超聲波流量計
磁翻板液位計
浮子液位計
浮球液位計
玻璃管液位計
雷達液位計
超聲波液位計
投入式液位計
壓力變送器
差壓變送器
液位變送器
溫度變送器
熱電偶
熱電阻
雙金屬溫度計
推薦產品
聯係91看片下载免费观看
- 金湖91看片下载免费观看儀表有限公司
- 聯係電話:15195518515
- 在線客服:1464856260
- 電話:0517-86801009
- 傳真號碼:0517-86801007
- 郵箱:1464856260@qq.com
- 網址:http://www.zhongtaijixie.net
- 地址:江蘇省金湖縣理士大道61號
91看片儿免费看dn65不同檢測方式結果
發布時間:2020-12-22 13:00:57 點擊次數:2133次
摘要:音速噴嘴法氣體流量標準裝置是采用氣路循環經過渦輪流量計到噴嘴,然後到氣泵抽氣的全過程進行檢定。采用的是負壓法檢定91看片儿免费看dn65,也是目前檢定流量計的重要方法之一,用之比較廣泛。鍾罩式氣體流量標準裝置采用的是正壓法,它是用一定體積量的標準氣體流經渦輪流量計,從而實現了對流量計的檢定,其本身流量範圍比較小,適合檢定口徑比較小的流量計,符合流量計在實際工作中的狀態。本文就兩種檢測方法,檢定同一渦輪流量計的結果進行分析比較,同時對測量結果進行不確定度評定,為以後的研究做出了一定的指導意義。
鍾罩式氣體流量標準裝置(如圖1)是以氣體為介質,對氣體流量計進行檢定、校準和檢驗的標準設備。一般有鍾罩、液槽、發訊機構、壓力補償機構、氣源和試驗管路構成。裝置是由可動的鍾罩和固定的液槽構成一個容積可變的密封空腔。鍾罩下降過程中通過壓力補償機構,使其內部氣體壓力保持一定值,不隨鍾罩浸入密封液中的深度而變化。鍾罩兩擋板之間的容積是固定的,測出兩擋板先後通過光電發訊器所經曆的時間,可計算出瞬時流量。
音速噴嘴法氣體流量標準裝置(如圖2)是以潔淨空氣為介質,其檢測原理是用真空泵1將空氣由被檢表的上遊直管段入口吸入,經過被檢表前直管段、被檢表11和被檢表下遊直管段進入滯止容器8,在滯止容器的下遊,有一組音速噴嘴5,控製音速噴嘴下遊的開掛閥門4,可以任意選擇所要開關的音速噴嘴,以達到改變被檢表流量的目的,滯止容器需要測溫6測壓7,代入公式計算可以得到通過音速噴嘴的質量流量,從而實現對被檢表的檢定。


1概述
1.1測量依據:
JJG1037-2008《渦輪流量計》。
1.2環境條件
大氣溫度為(23.5±1)℃;大氣相對濕度為(38±1)%RH;大氣壓為(93.2±0.5)kPa,檢定用介質溫度(18.5±0.2)℃;電源電壓應為(220±22)V,電源頻率應為(50±2.5)Hz;外界磁場、機械振動小到對流量計的影響可以忽略不計。
1.3測量標準
0.1級鍾罩式氣體流量標準裝置,測量範圍:(0.5~120)m3/h、DN(25~80)mm,檢定介質:空氣。
0.25級音速噴嘴法氣體流量標準裝置,測量範圍:(0.1-15000)m3/h、DN(15~400)mm,檢定介質:潔淨空氣
1.4被測對象
依據JJG1037-2008渦輪流量計檢定規程,上述0.1級鍾罩式氣體流量標準裝置能夠開展的91看片儿免费看dn65準確度等級為(0.5-1.5)級。因此選用DN25mm,流量範圍為(0.5~15.0)m3/h,1.5級的91看片儿免费看dn65。
1.5渦輪流量計工作原理及特點
渦輪流量計是速度式流量計中的主要種類,當被測流體流過渦輪流量計傳感器時,在流體的作用下,葉輪受力旋轉,其轉速與管道平均流速成正比,同時,葉片周期性地切割電磁鐵產生的磁力線,改變線圈的磁通量,根據電磁感應原理,在線圈內將感應出脈動的電勢信號,即電脈衝信號,此電脈動信號的頻率與被測流體的流量成正比。91看片儿免费看dn65具有精度高、重複性好、無零點漂移、高量程比等優點。渦輪流量計擁有高質量軸承、特別設計的導流片,因此*大降低了磨損,對峰值不敏感,甚者惡劣的條件下也可以給出可靠的測量變量。渦輪流量計輸出信號為脈衝,易於數字化。渦輪流量計壓力損失小,葉片能防腐,可以測量粘稠和腐蝕性的介質。
1.6測量過程
在規定的環境條件下,按JJG1037-2008渦輪流量計檢定規程,將渦輪流量計安裝在(音速噴嘴法)氣體流量標準裝置上,保證流量計與前後直管段同軸安裝。以空氣為檢定介質,調節流量點至*大流量的70%流量點,運行5min,等待介質溫度、壓力和流量穩定後進行正式檢定。
依據檢定規程,1.5級的渦輪流量計檢定流量點分別為:qmin、qt、0.40qmax和qmax。對於量程比≤20:1的流量計,其分界流量qt=0.2qmax。將在*i點*j次測得的被檢流量計脈衝信號與標準氣體流量裝置在該點該次測得的標準體積流量之比作為*i點*j次測量的儀表係數。每個檢定流量點檢定3次,取其平均值作為該流量點的儀表係數。
2建立數學模型
2.1數學模型

K為*i次測量被檢流量計的儀表係數,(m3)-1;
Ni為*i次測量被測流量計顯示儀表測得的脈衝數;
Vi為*i次測量標準裝置的累積流量值,m3;
2.2傳播率公式

3鍾罩式氣體流量標準裝置輸入量的相對不確定度的評定
3.1輸入量Ni的相對不確定度urei(Ni)評定
輸入量Ni的不確定度來源主要是流量計測量的不重複性,采用A類評定方法評定。
用一台DN25mm,測量範圍為:(0.5~15)m3/h的91看片儿免费看dn65,流量選擇在*大流量的100%處測量60秒,累計流量250L,用工控測量設備連續測量6次得到的一組測量列,如表1所示。

3.2輸入量Vi相對不確定度urei(Vi)的評定
輸入量Vi相對不確定度Urei(Vi)不確定度主要來源於氣體流量標準裝置的測量誤差,其不確定度采用B類方法評定。
由於廠家給出該氣體流量標準裝置的擴展不確定度U=0.1%;k=2。
所以Urei(Vi)=0.1%/2=0.05%根據以上標準不確定度分量匯總見表2.

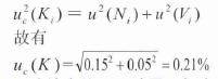
3.3合成相對標準不確定度

3.4其他給點的測量結果(如表3所示)

3.5擴展不確定度的評定
取其測量結果重複性作為其*大值,則擴展不確定度為:
U(K)=0.21%×2=0.42%;K=2
4.音速噴嘴法氣體流量標準裝置輸入量的相對不確定度的評定
4.1輸入量Ni的相對不確定度Urei(N)評定
輸入量Ni的不確定度來源主要是流量計測量的不重複性,采用A類評定方法評定。
用一台DN25mm,測量範圍為:(0.5~15)m3/h的91看片儿免费看dn65,流量選擇在*大流量的100%處測量60秒,累計流量250L,用工控測量設備連續測量6次得到的一組測量列,如表4.

4.2輸入量Vi相對不確定度urei(Vi)的評定
輸入量Vi相對不確定度Urei(Vi)不確定度主要來源於氣體流量標準裝置的測量誤差,其不確定度采用B類方法評定。
於廠家給出該氣體流量標準裝置的擴展不確定度U=0.25%;k=2。
所以Urei(Vi)=0.125%/2=0.05%
據以上標準不確定度分量匯總見表5。

4.5擴展不確定度的評定
取其測量結果重複性作為其*大值,則擴展不確定度為:
U(K)=0.257%×2=0.54%;k=2
5.結論
(1)鍾罩式氣體流量標準裝置測得91看片儿免费看dn65的擴展不確定度為0.42%(k=2);音速噴嘴法氣體流量標準裝置測得91看片儿免费看dn65的擴展不確定度為0.54%(k=2);兩種測量結果都滿足規程的要求,說明了其檢測結果都可信。
(2)鍾罩式標準裝置在在檢測的過程中,來回升降好多次,耗費時間比較長檢測效率大大下降;而音速噴嘴裝置耗時較短,減低了勞動強度,提高了了檢測效率。
(3)兩種檢測方法都可以說明,無論選擇哪種檢測方式,都能達到預期效果。
鍾罩式氣體流量標準裝置(如圖1)是以氣體為介質,對氣體流量計進行檢定、校準和檢驗的標準設備。一般有鍾罩、液槽、發訊機構、壓力補償機構、氣源和試驗管路構成。裝置是由可動的鍾罩和固定的液槽構成一個容積可變的密封空腔。鍾罩下降過程中通過壓力補償機構,使其內部氣體壓力保持一定值,不隨鍾罩浸入密封液中的深度而變化。鍾罩兩擋板之間的容積是固定的,測出兩擋板先後通過光電發訊器所經曆的時間,可計算出瞬時流量。
音速噴嘴法氣體流量標準裝置(如圖2)是以潔淨空氣為介質,其檢測原理是用真空泵1將空氣由被檢表的上遊直管段入口吸入,經過被檢表前直管段、被檢表11和被檢表下遊直管段進入滯止容器8,在滯止容器的下遊,有一組音速噴嘴5,控製音速噴嘴下遊的開掛閥門4,可以任意選擇所要開關的音速噴嘴,以達到改變被檢表流量的目的,滯止容器需要測溫6測壓7,代入公式計算可以得到通過音速噴嘴的質量流量,從而實現對被檢表的檢定。


1概述
1.1測量依據:
JJG1037-2008《渦輪流量計》。
1.2環境條件
大氣溫度為(23.5±1)℃;大氣相對濕度為(38±1)%RH;大氣壓為(93.2±0.5)kPa,檢定用介質溫度(18.5±0.2)℃;電源電壓應為(220±22)V,電源頻率應為(50±2.5)Hz;外界磁場、機械振動小到對流量計的影響可以忽略不計。
1.3測量標準
0.1級鍾罩式氣體流量標準裝置,測量範圍:(0.5~120)m3/h、DN(25~80)mm,檢定介質:空氣。
0.25級音速噴嘴法氣體流量標準裝置,測量範圍:(0.1-15000)m3/h、DN(15~400)mm,檢定介質:潔淨空氣
1.4被測對象
依據JJG1037-2008渦輪流量計檢定規程,上述0.1級鍾罩式氣體流量標準裝置能夠開展的91看片儿免费看dn65準確度等級為(0.5-1.5)級。因此選用DN25mm,流量範圍為(0.5~15.0)m3/h,1.5級的91看片儿免费看dn65。
1.5渦輪流量計工作原理及特點
渦輪流量計是速度式流量計中的主要種類,當被測流體流過渦輪流量計傳感器時,在流體的作用下,葉輪受力旋轉,其轉速與管道平均流速成正比,同時,葉片周期性地切割電磁鐵產生的磁力線,改變線圈的磁通量,根據電磁感應原理,在線圈內將感應出脈動的電勢信號,即電脈衝信號,此電脈動信號的頻率與被測流體的流量成正比。91看片儿免费看dn65具有精度高、重複性好、無零點漂移、高量程比等優點。渦輪流量計擁有高質量軸承、特別設計的導流片,因此*大降低了磨損,對峰值不敏感,甚者惡劣的條件下也可以給出可靠的測量變量。渦輪流量計輸出信號為脈衝,易於數字化。渦輪流量計壓力損失小,葉片能防腐,可以測量粘稠和腐蝕性的介質。
1.6測量過程
在規定的環境條件下,按JJG1037-2008渦輪流量計檢定規程,將渦輪流量計安裝在(音速噴嘴法)氣體流量標準裝置上,保證流量計與前後直管段同軸安裝。以空氣為檢定介質,調節流量點至*大流量的70%流量點,運行5min,等待介質溫度、壓力和流量穩定後進行正式檢定。
依據檢定規程,1.5級的渦輪流量計檢定流量點分別為:qmin、qt、0.40qmax和qmax。對於量程比≤20:1的流量計,其分界流量qt=0.2qmax。將在*i點*j次測得的被檢流量計脈衝信號與標準氣體流量裝置在該點該次測得的標準體積流量之比作為*i點*j次測量的儀表係數。每個檢定流量點檢定3次,取其平均值作為該流量點的儀表係數。
2建立數學模型
2.1數學模型

K為*i次測量被檢流量計的儀表係數,(m3)-1;
Ni為*i次測量被測流量計顯示儀表測得的脈衝數;
Vi為*i次測量標準裝置的累積流量值,m3;
2.2傳播率公式

3鍾罩式氣體流量標準裝置輸入量的相對不確定度的評定
3.1輸入量Ni的相對不確定度urei(Ni)評定
輸入量Ni的不確定度來源主要是流量計測量的不重複性,采用A類評定方法評定。
用一台DN25mm,測量範圍為:(0.5~15)m3/h的91看片儿免费看dn65,流量選擇在*大流量的100%處測量60秒,累計流量250L,用工控測量設備連續測量6次得到的一組測量列,如表1所示。

3.2輸入量Vi相對不確定度urei(Vi)的評定
輸入量Vi相對不確定度Urei(Vi)不確定度主要來源於氣體流量標準裝置的測量誤差,其不確定度采用B類方法評定。
由於廠家給出該氣體流量標準裝置的擴展不確定度U=0.1%;k=2。
所以Urei(Vi)=0.1%/2=0.05%根據以上標準不確定度分量匯總見表2.

3.3合成相對標準不確定度

3.4其他給點的測量結果(如表3所示)

3.5擴展不確定度的評定
取其測量結果重複性作為其*大值,則擴展不確定度為:
U(K)=0.21%×2=0.42%;K=2
4.音速噴嘴法氣體流量標準裝置輸入量的相對不確定度的評定
4.1輸入量Ni的相對不確定度Urei(N)評定
輸入量Ni的不確定度來源主要是流量計測量的不重複性,采用A類評定方法評定。
用一台DN25mm,測量範圍為:(0.5~15)m3/h的91看片儿免费看dn65,流量選擇在*大流量的100%處測量60秒,累計流量250L,用工控測量設備連續測量6次得到的一組測量列,如表4.

4.2輸入量Vi相對不確定度urei(Vi)的評定
輸入量Vi相對不確定度Urei(Vi)不確定度主要來源於氣體流量標準裝置的測量誤差,其不確定度采用B類方法評定。
於廠家給出該氣體流量標準裝置的擴展不確定度U=0.25%;k=2。
所以Urei(Vi)=0.125%/2=0.05%
據以上標準不確定度分量匯總見表5。

4.5擴展不確定度的評定
取其測量結果重複性作為其*大值,則擴展不確定度為:
U(K)=0.257%×2=0.54%;k=2
5.結論
(1)鍾罩式氣體流量標準裝置測得91看片儿免费看dn65的擴展不確定度為0.42%(k=2);音速噴嘴法氣體流量標準裝置測得91看片儿免费看dn65的擴展不確定度為0.54%(k=2);兩種測量結果都滿足規程的要求,說明了其檢測結果都可信。
(2)鍾罩式標準裝置在在檢測的過程中,來回升降好多次,耗費時間比較長檢測效率大大下降;而音速噴嘴裝置耗時較短,減低了勞動強度,提高了了檢測效率。
(3)兩種檢測方法都可以說明,無論選擇哪種檢測方式,都能達到預期效果。

