產品目錄
91看片儿免费看
液體流量計
91看片视频免费
油流量計
91看片网站下载
橢圓齒輪流量計
電磁流量計
渦街流量計
蒸汽流量計
孔板流量計
旋進旋渦流量計
熱式氣體質量流量計
轉子流量計
浮子流量計
靶式流量計
氣體流量計
超聲波流量計
磁翻板液位計
浮子液位計
浮球液位計
玻璃管液位計
雷達液位計
超聲波液位計
投入式液位計
壓力變送器
差壓變送器
液位變送器
溫度變送器
熱電偶
熱電阻
雙金屬溫度計
推薦產品
聯係91看片下载免费观看
- 金湖91看片下载免费观看儀表有限公司
- 聯係電話:15195518515
- 在線客服:1464856260
- 電話:0517-86801009
- 傳真號碼:0517-86801007
- 郵箱:1464856260@qq.com
- 網址:http://www.zhongtaijixie.net
- 地址:江蘇省金湖縣理士大道61號
氟利昂加液流量計在不同黏度介質中試驗
發布時間:2020-09-02 01:24:48 點擊次數:2252次
摘要:文章介紹了氟利昂加液流量計的工作原理及特點,利用現有燃油流量標準及滑油流量標準,分別對三台不同口徑(Ф40mm,Ф25mm,Ф15mm)氟利昂加液流量計進行了性能測試,並對測試結果進行了簡要分析。測試主要依據JJG1037—2008《氟利昂加液流量計檢定規程》進行,測試結果表明黏度對氟利昂加液流量計性能有較大影響。
隨著科學技術的進步以及**對能源、環境的重視,流量計量的地位更加突出,相關技術也取得了很大的進步,如多種新型流量計不斷投入使用,傳統流量計技術得到改進、精度更高等。各種在線計量、國際比對、實流測試等已成為當今流量計量發展的主要方向。工業實際應用中流量的準確計量需要高準確度的流量計來保證,更需要對流量計量儀表的正確使用來保證。依據實際需要,國防科技工業4113二級計量站先後建立了燃油流量標準裝置、液壓油流量標準裝置和滑油流量標準裝置。在現有條件下,91看片下载免费观看對氟利昂加液流量計在燃油和滑油兩種黏度相差較大的液體中進行了性能測試和比較,以期對廣大流量計研發人員有所指導,對流量計使用人員有所啟發。
1氟利昂加液流量計
氟利昂加液流量計是一種速度式流量儀表,主要依據動量矩守恒原理。其基本結構如圖1所示,主要由傳感器1,變送器2及二次儀表3組成。工作時,液體通過流量計內腔,對葉片產生衝擊而使渦輪旋轉,渦輪旋轉速度隨流量大小變化而變化,通過渦輪的轉速得到液體介質的流量。氟利昂加液流量計具有結構簡單,體積、質量小,精度高等特點,所以在工業實際中應用*為廣泛。
2試驗標準及測試儀表
2.1試驗標準
此次比對試驗所使用裝置為我單位所擁有的兩台液體流量標準裝置,各自技術指標如下。

(1)航空燃油流量標準:試驗介質為RP-3航空燃油;流量範圍為0.04~100m3/h;不確定度為0.05%(k=2,k為包含因子);裝置采用動態質量法;變溫範圍為常溫~50℃;溫控精度為±1℃。
(2)航空潤滑油流量標準:試驗介質為4050航空潤滑油;流量範圍為0.1~80m3/h;不確定度為0.05%(k=2);裝置采用靜態質量法;變溫範圍為-35~150℃;溫控精度為±1℃。
2.2測試儀表
此次試驗測試所用流量儀表為我單位所使用標準流量計,共3台,其主要參數如下。
(1)Φ40流量計。型號規格為LWGY-40;流量範圍為3~30m3/h;出廠等級為0.5級。(2)Φ25流量計。型號規格為LWGY-25;流量範圍為1.2~12m3/h;出廠等級為0.5級。
(3)Φ15流量計。型號規格為LWGY-15;流量範圍為0.6~4m3/h;出廠等級為0.5級。
3試驗測試
3.1測試依據
對單個流量計的測試主要依據JJG1037—2008《氟利昂加液流量計檢定規程》。其中主要參數及計算方法如下:

式中:Kij為*i檢定點*j次檢定的儀表係數,L-1或(m3)-1,其中,i=1,2,3,…,m,m為檢定點數,m≥3,j=1,2,3,…,n,n為檢定次數,n≥3;Nij為*i檢定點*j次檢定時流量計顯示儀表測得的脈衝數;Vij為*i檢定點*j次檢定時標準裝置測得的實際流量,L或m3。

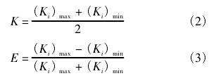
式中:K為流量計的儀表係數,L-1或(m3)-1;E為流量計的儀表*大示值誤差,L-1或(m3)-1;(Ki)max為流量計所有檢定點中所得到的Ki中的*大值,L-1或(m3)-1;(Ki)min為流量計所有檢定點中所得到的Ki中的*小值,L-1或(m3)-1。
3.2測試結果
依據以上方法對所選流量計進行測試,具體情況如下。
3.2.1Φ40流量計測試條件及結果
(1)滑油測試條件。環境溫度:24.5℃;大氣壓力:100610Pa;濕度:27.8%;介質黏度:31.63cSt(1cSt=10-6m2/s,餘同)。
(2)燃油測試條件。環境溫度:12.8℃;大氣壓力:101210Pa;濕度:30.3%;介質黏度:1.62cSt。
Φ40流量計測試數據如表1所示。

依據表1測試數據,經計算可得,Φ40流量計在滑油及燃油中測試結果如表2所示,測試線形圖如圖2所示。

3.2.2Φ25流量計測試條件及結果
(1)滑油測試條件。環境溫度:24.9℃;大氣壓力:100560Pa;濕度:30.3%;介質黏度:35.41cSt。
(2)燃油測試條件。環境溫度:25.61℃;大氣壓力:100760Pa;濕度:19.7%;介質黏度:1.47cSt。
Φ25流量計測試數據如表3所示。
依據表3測試數據,經計算可得,Φ25流量計在滑油及燃油中測試結果如表4所示,測試線形圖如圖3所示。


3.2.3Φ15流量計測試條件及結果
(1)滑油測試條件。環境溫度:24.8℃;大氣壓力:100570Pa;濕度:29.3%;介質黏度:37.83cSt。
(2)燃油測試條件。環境溫度:19.26℃;大氣壓力:100850Pa;濕度:25.9%;介質黏度:1.5cSt。

Φ15流量計測試數據如表5所示。

依據表5測試數據,經計算可得,Φ15流量計在滑油及燃油中測試結果如表6所示,測試線性圖如圖4所示。

4結論
從測試結果數據分析可知:
(1)氟利昂加液流量計在兩種不同黏度液體介質中係數不同。
(2)氟利昂加液流量計在兩種黏度介質中線性差別較大,且在高黏度液體介質中線性較差。
(3)氟利昂加液流量計在兩種不同黏度液體介質中重複性都較好
隨著科學技術的進步以及**對能源、環境的重視,流量計量的地位更加突出,相關技術也取得了很大的進步,如多種新型流量計不斷投入使用,傳統流量計技術得到改進、精度更高等。各種在線計量、國際比對、實流測試等已成為當今流量計量發展的主要方向。工業實際應用中流量的準確計量需要高準確度的流量計來保證,更需要對流量計量儀表的正確使用來保證。依據實際需要,國防科技工業4113二級計量站先後建立了燃油流量標準裝置、液壓油流量標準裝置和滑油流量標準裝置。在現有條件下,91看片下载免费观看對氟利昂加液流量計在燃油和滑油兩種黏度相差較大的液體中進行了性能測試和比較,以期對廣大流量計研發人員有所指導,對流量計使用人員有所啟發。
1氟利昂加液流量計
氟利昂加液流量計是一種速度式流量儀表,主要依據動量矩守恒原理。其基本結構如圖1所示,主要由傳感器1,變送器2及二次儀表3組成。工作時,液體通過流量計內腔,對葉片產生衝擊而使渦輪旋轉,渦輪旋轉速度隨流量大小變化而變化,通過渦輪的轉速得到液體介質的流量。氟利昂加液流量計具有結構簡單,體積、質量小,精度高等特點,所以在工業實際中應用*為廣泛。
2試驗標準及測試儀表
2.1試驗標準
此次比對試驗所使用裝置為我單位所擁有的兩台液體流量標準裝置,各自技術指標如下。

(1)航空燃油流量標準:試驗介質為RP-3航空燃油;流量範圍為0.04~100m3/h;不確定度為0.05%(k=2,k為包含因子);裝置采用動態質量法;變溫範圍為常溫~50℃;溫控精度為±1℃。
(2)航空潤滑油流量標準:試驗介質為4050航空潤滑油;流量範圍為0.1~80m3/h;不確定度為0.05%(k=2);裝置采用靜態質量法;變溫範圍為-35~150℃;溫控精度為±1℃。
2.2測試儀表
此次試驗測試所用流量儀表為我單位所使用標準流量計,共3台,其主要參數如下。
(1)Φ40流量計。型號規格為LWGY-40;流量範圍為3~30m3/h;出廠等級為0.5級。(2)Φ25流量計。型號規格為LWGY-25;流量範圍為1.2~12m3/h;出廠等級為0.5級。
(3)Φ15流量計。型號規格為LWGY-15;流量範圍為0.6~4m3/h;出廠等級為0.5級。
3試驗測試
3.1測試依據
對單個流量計的測試主要依據JJG1037—2008《氟利昂加液流量計檢定規程》。其中主要參數及計算方法如下:

式中:Kij為*i檢定點*j次檢定的儀表係數,L-1或(m3)-1,其中,i=1,2,3,…,m,m為檢定點數,m≥3,j=1,2,3,…,n,n為檢定次數,n≥3;Nij為*i檢定點*j次檢定時流量計顯示儀表測得的脈衝數;Vij為*i檢定點*j次檢定時標準裝置測得的實際流量,L或m3。

式中:K為流量計的儀表係數,L-1或(m3)-1;E為流量計的儀表*大示值誤差,L-1或(m3)-1;(Ki)max為流量計所有檢定點中所得到的Ki中的*大值,L-1或(m3)-1;(Ki)min為流量計所有檢定點中所得到的Ki中的*小值,L-1或(m3)-1。
3.2測試結果
依據以上方法對所選流量計進行測試,具體情況如下。
3.2.1Φ40流量計測試條件及結果
(1)滑油測試條件。環境溫度:24.5℃;大氣壓力:100610Pa;濕度:27.8%;介質黏度:31.63cSt(1cSt=10-6m2/s,餘同)。
(2)燃油測試條件。環境溫度:12.8℃;大氣壓力:101210Pa;濕度:30.3%;介質黏度:1.62cSt。
Φ40流量計測試數據如表1所示。

依據表1測試數據,經計算可得,Φ40流量計在滑油及燃油中測試結果如表2所示,測試線形圖如圖2所示。

3.2.2Φ25流量計測試條件及結果
(1)滑油測試條件。環境溫度:24.9℃;大氣壓力:100560Pa;濕度:30.3%;介質黏度:35.41cSt。
(2)燃油測試條件。環境溫度:25.61℃;大氣壓力:100760Pa;濕度:19.7%;介質黏度:1.47cSt。
Φ25流量計測試數據如表3所示。
依據表3測試數據,經計算可得,Φ25流量計在滑油及燃油中測試結果如表4所示,測試線形圖如圖3所示。


3.2.3Φ15流量計測試條件及結果
(1)滑油測試條件。環境溫度:24.8℃;大氣壓力:100570Pa;濕度:29.3%;介質黏度:37.83cSt。
(2)燃油測試條件。環境溫度:19.26℃;大氣壓力:100850Pa;濕度:25.9%;介質黏度:1.5cSt。

Φ15流量計測試數據如表5所示。

依據表5測試數據,經計算可得,Φ15流量計在滑油及燃油中測試結果如表6所示,測試線性圖如圖4所示。

4結論
從測試結果數據分析可知:
(1)氟利昂加液流量計在兩種不同黏度液體介質中係數不同。
(2)氟利昂加液流量計在兩種黏度介質中線性差別較大,且在高黏度液體介質中線性較差。
(3)氟利昂加液流量計在兩種不同黏度液體介質中重複性都較好

