產品目錄
91看片儿免费看
液體流量計
91看片视频免费
油流量計
91看片网站下载
橢圓齒輪流量計
電磁流量計
渦街流量計
蒸汽流量計
孔板流量計
旋進旋渦流量計
熱式氣體質量流量計
轉子流量計
浮子流量計
靶式流量計
氣體流量計
超聲波流量計
磁翻板液位計
浮子液位計
浮球液位計
玻璃管液位計
雷達液位計
超聲波液位計
投入式液位計
壓力變送器
差壓變送器
液位變送器
溫度變送器
熱電偶
熱電阻
雙金屬溫度計
推薦產品
聯係91看片下载免费观看
- 金湖91看片下载免费观看儀表有限公司
- 聯係電話:15195518515
- 在線客服:1464856260
- 電話:0517-86801009
- 傳真號碼:0517-86801007
- 郵箱:1464856260@qq.com
- 網址:http://www.zhongtaijixie.net
- 地址:江蘇省金湖縣理士大道61號
甲苯流量計輸出信號的研究與應用
發布時間:2020-09-01 08:45:29 點擊次數:1928次
摘要:甲苯流量計是應用廣泛的流量計量儀表。它的結構簡單、靈敏度高、壓力損失小。特別是其良好的重複性、穩定性倍受用戶的青睞。但是長期以來,由於其非線性特性的存在,使其流量測量範圍受到很大製約。通過對甲苯流量計輸出脈衝信號特性的研究和分析,提出了一種擴大甲苯流量計量程範圍的方法,這種方法簡單易行、行之有效並可應用於其他脈衝頻率輸出的傳感器中去。
1 渦輪流量傳感器的工作原理
渦輪流量傳感器結構如圖1所示,屬於速度式流量傳感器。渦輪置於流體通道中,隨著流體的流動產生旋轉,設渦輪的轉速為n、流過渦輪的流體速度為u,則n與u成正比;流體通道的流通截麵.積S是已知的常數,所以,流過渦輪流量傳感器的流體體積流量Q為:

測量流體速度u通常是利用電磁感應原理將與流體速度成正比的渦輪轉速n變成脈衝頻率F:
F=Nxn(2)
公式(2)中,N是渦輪流量傳感器的葉片數,n是葉輪的旋轉速度。渦輪流量傳感器一旦選定,其葉片數N即為常數,所以信號頻率F與轉速n呈線性關係;由於葉輪的轉速n正比於流體的流速u,對於截麵積S恒定的流通管路,由公式(1)可見,流體速度u與流量Q之間也呈線性關係。所以,電脈衝信號頻率F也就正比於流量Q。在使用渦輪流量傳感器時,隻要測量出它的輸出電脈衝信號頻率F,就可以計算出相應的體積流量Q。

雖然電脈衝信號頻率F與體積流量Q是正比關係,但是其比值卻不是常數。其原因是流體的摩擦阻力、粘滯阻力、磁電轉換器的電磁阻力以及渦輪軸與軸承之間的機械摩擦阻力等都與流體的流動速度有關。可以用

來表達各參數間的關係。
式中,M是渦輪傳感器輸出的電脈衝數,V是流過渦輪傳感器的流體體積,即`K為通過單位流體流量渦輪流量傳感器發出的電脈衝頻率或單位體積流體渦輪流量傳感器發出的電脈衝數,`K稱為渦輪流量傳感器的平均儀表係數。圖2表示了`K與Q之間的關係。以往常規使用方法是在渦輪流量傳感器的測量範圍Qmin一Qmax內,測得各流量檢定點的儀表係數Ki並將各Kt取平均值得到`K,把`K作為該傳感器的平均儀表係數。進行流量測量時,測得渦輪流量傳感器發出的電脈衝頻率F,即可由

得到相應的流量Q值,從而完成流量測量任務。
2 渦輪流量傳感器的測量範圍
圖2顯示測量出電脈衝信號頻率F用平均儀表係數`K計算得到的Q值,在Qmin~Qmax範圍內的*大相對誤差為:

在QQmax,即在測量範圍之外誤差將超過δmax。這就是說雖然渦輪流量傳感器具有很好的重複性,但是由於電脈衝信號頻率F與體積流量Q之間是非線性的,按照常規的平均儀表係數`K的計算方法,對於一定的誤差限士A,由於非線性誤差的存在使得渦輪流量傳感器的工作範圍隻能限定在Qmin~Qmax之內。
對於重複性很好而線性度較差的渦輪流量傳感器,要擴大其測量範圍或減小測量誤差,研究的核心問題是設計一-種便捷的使用方法,按照行鑒定規程利用原有檢定數據,使渦輪流量傳感器在具有很小重複性誤差的流量範圍內,都能得到很準確測量效果。
3 渦輪流量傳感器的常規使用方法
像其它速度式流量計一樣,渦輪流量傳感器出廠時要按照渦輪流量傳感器鑒定規程(JJG198-94)的規定進行計量性能檢定。傳感器的量程比a

按照公式(5)計算得到非線性誤差δ≤1.0%,對於量程比a=10的渦輪流量傳感器,很難實現。即采用平均儀表係數`K計算流量的計量準確度達到1.0級水平是一件很難是達到的指標;而實際檢定數據顯示,各流量檢定點Qi上的儀表係數Ki的重複性誤差Eri基本都能達到0.1%甚至0.01%範圍之內。Eri由公式(6)計算得到。

渦輪流量傳感器的重複性誤差Er=Enmax
通常情況下,渦輪流量傳感器的量程比a=10、非線性誤差δ≥1.0%而重複性誤差Er≤0.01。如果在使用渦輪流量傳感器進行流量測量時不對儀表係.數取平均值,即不用平均儀表係數`K而是直接使用各流量檢定點的檢定儀表係數Ki,就有可能避免非線性誤差對流量測量的影響。渦輪流量傳感器的測量誤差就有可能從線性度δ=1.0%變為重複性Eri=0.01%。即渦輪流量傳感器的製造工藝不變、遵循現行的計量檢定規程、使用現有的檢定數據,隻是對檢定數據的使用方法稍加改變就有可能成百倍地提高測量準確度。
渦輪流量傳感器輸出的脈衝信號頻率F=Nxn(N是渦輪葉片數,n是渦輪的旋轉速度);流過渦輪流量傳感器的被測流體體積流量Q=Sxu(S是流體的流通截麵積,u流體介質的流速);渦輪流量

輪流量傳感器的儀表係數K與Q的關係近似線性的單調函數(見圖2)。因此,在對檢定結果進行處理時,直接將各檢定點的檢定結果以Fi、Ki的形式存入甲苯流量計的數值運算部分,不必對其儀表係數取平均值。在使用渦輪流量傳感器進行流量測量時,根據渦輪流量傳感器的信號頻率F,即可在以上檢定結果中檢索各F,值,找出滿足F,≤F≤F的Fi、Fi+1(i=1,2,.,.n-1),n是該渦輪流量傳感器的流量檢定點數;若信號頻率F=Fi或F=Fi+1,則相應的Ki或K.i+1即為所需的儀表係數;若信號頻率Fi

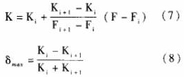
這種計算方法的設計思路是在檢定頻率點上直接用檢定點的檢定儀表係數,其誤差就是該點的重複性誤差δg;在檢定頻率點之間就采用相鄰兩個檢定點的檢定儀表係數K、Ki+1的線性差值得到該點的儀表係數K,由此帶來的*大測量誤差的*限值為K、Ki+1之間的非線性誤差δ?max。因為各計量檢定點是按照鑒定規程(JJG198-94)確定的,所以各檢定點的非線性誤差δ?max與全量程非線性誤差δ之間應滿足δ?max=δ/n.也就是說使用這種計算方法得到的測量結果其誤差值隻有采用平均儀表係數時1/n由於渦輪流量傳感器的儀表係數K與流量Q之間當Q≥Q。時基本呈線性關係,所以用線性插值法得到的實際的測量誤差8'更接近重複性誤差ER而遠小於非線性誤差δ?max,即δ'≈En
這種計算方法與平均儀表係數方法的區別在於甲苯流量計的數據存儲區中存放的是n組實際檢定結果而不是一個平均儀表係數`K;使用流量計進行流量測量時,根據測得的頻率值F找到與之相鄰的一對檢定頻率點(Fi,Fi+1)及對應的一對檢定儀表係數(Ki,Ki+1),不是簡單地用測得的頻率值F除以平均儀表係數`K就得到了當前流量值;根據(Fi,Fi+1).(Ki,Ki+1),先用公式(7)計算出對應信號頻率F的儀表係數K,然後用該頻率值F除以計算得到的儀表係數K得到當前流量Q。這種方法可稱之為“檢定係數折線法"。這種使用方法看似比用平均儀表係數繁瑣,但在目前廣泛采用的微機化儀表中非常容易實現;采用此法在可編程控製器(PLC)以及計算機檢測、控製係統中進行流量測量,可以在確定的量程範圍內提高渦輪流量傳感器的測量精度或者在確保精確測量的前提下擴大測量範圍。
4實驗數據分析
被檢儀表:公稱通徑分別為10mm和15mm的渦輪流量傳感器各一台;檢定裝置:靜態稱重法標準水流量檢定裝置,係統精度+0.2%。分別采用常規的平均儀表係數法和檢定係數折線法進行標.定,並與作為標準的靜態稱重法的檢定結果進行比對,結果見表1.表2。


從表1可見,在相同的量程範圍(0.32m3/h~1.10m3/h)內,使用常規平均儀表係數法的*大非線性誤差為0.2493%,而使用檢定係數折線法的*大誤差隻有0.0569%,誤差堿少了4倍多;表2顯示,使用常規平均儀表係數法的*大非線性誤差為0.7646%,在相同的量程範圍(0.5m3/h~5.0m'/h)內,檢定係數折線法的*大誤差隻有0.1566%,減少了近5倍。顯然,在同樣的測量準確度水平(如對10mm渦輪取0.2級、對15mm渦輪取0.5級)下,采用檢定係數修正法渦輪流量傳感器的測量範圍比使用常規的平均儀表係數法有了明顯的擴大。
1 渦輪流量傳感器的工作原理
渦輪流量傳感器結構如圖1所示,屬於速度式流量傳感器。渦輪置於流體通道中,隨著流體的流動產生旋轉,設渦輪的轉速為n、流過渦輪的流體速度為u,則n與u成正比;流體通道的流通截麵.積S是已知的常數,所以,流過渦輪流量傳感器的流體體積流量Q為:

測量流體速度u通常是利用電磁感應原理將與流體速度成正比的渦輪轉速n變成脈衝頻率F:
F=Nxn(2)
公式(2)中,N是渦輪流量傳感器的葉片數,n是葉輪的旋轉速度。渦輪流量傳感器一旦選定,其葉片數N即為常數,所以信號頻率F與轉速n呈線性關係;由於葉輪的轉速n正比於流體的流速u,對於截麵積S恒定的流通管路,由公式(1)可見,流體速度u與流量Q之間也呈線性關係。所以,電脈衝信號頻率F也就正比於流量Q。在使用渦輪流量傳感器時,隻要測量出它的輸出電脈衝信號頻率F,就可以計算出相應的體積流量Q。

雖然電脈衝信號頻率F與體積流量Q是正比關係,但是其比值卻不是常數。其原因是流體的摩擦阻力、粘滯阻力、磁電轉換器的電磁阻力以及渦輪軸與軸承之間的機械摩擦阻力等都與流體的流動速度有關。可以用

來表達各參數間的關係。
式中,M是渦輪傳感器輸出的電脈衝數,V是流過渦輪傳感器的流體體積,即`K為通過單位流體流量渦輪流量傳感器發出的電脈衝頻率或單位體積流體渦輪流量傳感器發出的電脈衝數,`K稱為渦輪流量傳感器的平均儀表係數。圖2表示了`K與Q之間的關係。以往常規使用方法是在渦輪流量傳感器的測量範圍Qmin一Qmax內,測得各流量檢定點的儀表係數Ki並將各Kt取平均值得到`K,把`K作為該傳感器的平均儀表係數。進行流量測量時,測得渦輪流量傳感器發出的電脈衝頻率F,即可由

得到相應的流量Q值,從而完成流量測量任務。
2 渦輪流量傳感器的測量範圍
圖2顯示測量出電脈衝信號頻率F用平均儀表係數`K計算得到的Q值,在Qmin~Qmax範圍內的*大相對誤差為:

在Q
對於重複性很好而線性度較差的渦輪流量傳感器,要擴大其測量範圍或減小測量誤差,研究的核心問題是設計一-種便捷的使用方法,按照行鑒定規程利用原有檢定數據,使渦輪流量傳感器在具有很小重複性誤差的流量範圍內,都能得到很準確測量效果。
3 渦輪流量傳感器的常規使用方法
像其它速度式流量計一樣,渦輪流量傳感器出廠時要按照渦輪流量傳感器鑒定規程(JJG198-94)的規定進行計量性能檢定。傳感器的量程比a

按照公式(5)計算得到非線性誤差δ≤1.0%,對於量程比a=10的渦輪流量傳感器,很難實現。即采用平均儀表係數`K計算流量的計量準確度達到1.0級水平是一件很難是達到的指標;而實際檢定數據顯示,各流量檢定點Qi上的儀表係數Ki的重複性誤差Eri基本都能達到0.1%甚至0.01%範圍之內。Eri由公式(6)計算得到。

渦輪流量傳感器的重複性誤差Er=Enmax
通常情況下,渦輪流量傳感器的量程比a=10、非線性誤差δ≥1.0%而重複性誤差Er≤0.01。如果在使用渦輪流量傳感器進行流量測量時不對儀表係.數取平均值,即不用平均儀表係數`K而是直接使用各流量檢定點的檢定儀表係數Ki,就有可能避免非線性誤差對流量測量的影響。渦輪流量傳感器的測量誤差就有可能從線性度δ=1.0%變為重複性Eri=0.01%。即渦輪流量傳感器的製造工藝不變、遵循現行的計量檢定規程、使用現有的檢定數據,隻是對檢定數據的使用方法稍加改變就有可能成百倍地提高測量準確度。
渦輪流量傳感器輸出的脈衝信號頻率F=Nxn(N是渦輪葉片數,n是渦輪的旋轉速度);流過渦輪流量傳感器的被測流體體積流量Q=Sxu(S是流體的流通截麵積,u流體介質的流速);渦輪流量

輪流量傳感器的儀表係數K與Q的關係近似線性的單調函數(見圖2)。因此,在對檢定結果進行處理時,直接將各檢定點的檢定結果以Fi、Ki的形式存入甲苯流量計的數值運算部分,不必對其儀表係數取平均值。在使用渦輪流量傳感器進行流量測量時,根據渦輪流量傳感器的信號頻率F,即可在以上檢定結果中檢索各F,值,找出滿足F,≤F≤F的Fi、Fi+1(i=1,2,.,.n-1),n是該渦輪流量傳感器的流量檢定點數;若信號頻率F=Fi或F=Fi+1,則相應的Ki或K.i+1即為所需的儀表係數;若信號頻率Fi

這種計算方法的設計思路是在檢定頻率點上直接用檢定點的檢定儀表係數,其誤差就是該點的重複性誤差δg;在檢定頻率點之間就采用相鄰兩個檢定點的檢定儀表係數K、Ki+1的線性差值得到該點的儀表係數K,由此帶來的*大測量誤差的*限值為K、Ki+1之間的非線性誤差δ?max。因為各計量檢定點是按照鑒定規程(JJG198-94)確定的,所以各檢定點的非線性誤差δ?max與全量程非線性誤差δ之間應滿足δ?max=δ/n.也就是說使用這種計算方法得到的測量結果其誤差值隻有采用平均儀表係數時1/n由於渦輪流量傳感器的儀表係數K與流量Q之間當Q≥Q。時基本呈線性關係,所以用線性插值法得到的實際的測量誤差8'更接近重複性誤差ER而遠小於非線性誤差δ?max,即δ'≈En
4實驗數據分析
被檢儀表:公稱通徑分別為10mm和15mm的渦輪流量傳感器各一台;檢定裝置:靜態稱重法標準水流量檢定裝置,係統精度+0.2%。分別采用常規的平均儀表係數法和檢定係數折線法進行標.定,並與作為標準的靜態稱重法的檢定結果進行比對,結果見表1.表2。


從表1可見,在相同的量程範圍(0.32m3/h~1.10m3/h)內,使用常規平均儀表係數法的*大非線性誤差為0.2493%,而使用檢定係數折線法的*大誤差隻有0.0569%,誤差堿少了4倍多;表2顯示,使用常規平均儀表係數法的*大非線性誤差為0.7646%,在相同的量程範圍(0.5m3/h~5.0m'/h)內,檢定係數折線法的*大誤差隻有0.1566%,減少了近5倍。顯然,在同樣的測量準確度水平(如對10mm渦輪取0.2級、對15mm渦輪取0.5級)下,采用檢定係數修正法渦輪流量傳感器的測量範圍比使用常規的平均儀表係數法有了明顯的擴大。
上一篇:甲醇流量計變粘度流量計算與校準下一篇:如何解決酒精流量計的應用缺陷
相關資訊
- 如何解決甲苯液體流量計常見故障及合理保養傳感器部件
- 二甲苯管道計量表選型時應該注意的十個注意事項
- 二甲苯溶液流量計,測二甲苯專用流量計
- 甲苯累積流量計
- 二甲苯管道流量表,測二甲苯用流量表選型
- 甲苯液體流量計,甲苯累積流量計
- 淺析二甲苯專用計量表特點及其適用範圍和不適用的特殊情況
- 二甲苯計量表在現場使用中常見的問題及解決辦法
- 甲苯流量表的工作原理與運行條件
- 二甲苯流量表在使用過程中需要注意的幾個方麵介紹
- 甲苯液體流量計,甲苯選用什麽流量計
- 二甲苯流量計,甲苯流量計
- 甲苯累積流量計,甲苯選用什麽流量計
- 甲苯液體流量計,甲苯流量計選型
- 關於甲苯流量計正確的安裝步驟
- 二甲苯流量計,二甲苯管道流量計,二甲苯專用流量計
- 二甲苯流量計廠家,甲苯液體流量計
- 甲苯選用什麽流量計
- 二甲苯專用流量表,智能二甲苯流量表
- 甲苯液體流量計
- 二甲苯溶液流量計,二甲苯流量計選型
- 二甲苯計量表在投產前及投產後應該注意的要求
- 甲苯計量表投入使用時的注意事項及常見故障排除
- 探究不同類型管道對甲苯計量表測量的影響
- DN25二甲苯流量計,304材質二甲苯計量表廠家
- 螺紋二甲苯計量表,DN25二甲苯流量計廠家
- 甲苯選用什麽流量計,二甲苯流量計
- 二甲苯流量計測量對於介質粘度的要求及安裝要點
- 二甲苯流量表在測量管道流體脈動流時的特性規律
- 甲苯流量測量中流量計選型需考慮到的10個因素

