產品目錄
91看片儿免费看
液體流量計
91看片视频免费
油流量計
91看片网站下载
橢圓齒輪流量計
電磁流量計
渦街流量計
蒸汽流量計
孔板流量計
旋進旋渦流量計
熱式氣體質量流量計
轉子流量計
浮子流量計
靶式流量計
氣體流量計
超聲波流量計
磁翻板液位計
浮子液位計
浮球液位計
玻璃管液位計
雷達液位計
超聲波液位計
投入式液位計
壓力變送器
差壓變送器
液位變送器
溫度變送器
熱電偶
熱電阻
雙金屬溫度計
推薦產品
聯係91看片下载免费观看
- 金湖91看片下载免费观看儀表有限公司
- 聯係電話:15195518515
- 在線客服:1464856260
- 電話:0517-86801009
- 傳真號碼:0517-86801007
- 郵箱:1464856260@qq.com
- 網址:http://www.zhongtaijixie.net
- 地址:江蘇省金湖縣理士大道61號
91看片儿免费看誤差評定方法之探討
發布時間:2021-03-10 03:25:29 點擊次數:2936次
摘要:以係列的實驗數據和數學模型為依據,對91看片儿免费看(以下簡稱流量計)誤差評定的方法做出具體地運算、分析,並闡述觀點,得出結果;為技術人員合理選擇流量計的誤差評定方法提供較全麵的理論論證和技術支持;
流量計量的主要內容之一就是研究不同流體在不同條件下的流量測量方法,並提供相應的測量儀表。所以研究測量方法需對誤差進行評定,選擇測量儀表需關注質量指標,而誤差、準確度等級等又是儀表主要的質量指標。基於以上因素,以流量計為對象,用實測數據對其誤差評定結果做出具體分析、論證,以探討誤差評定工作的具體方法和選擇合理的方法。
1、簡述相關名詞、術語定義
①法蘭夾裝式91看片儿免费看:渦輪流量計是一種流量測量儀表,流動流體的動力驅使渦輪葉片旋轉,其旋轉速度與體積流量近似成比例(線性關係)。信號輸出方式包括脈衝、模擬量或數字通信方式。結構原理見圖1。
②k係數:單位體積的流體流過流量計時流量計發出的脈衝數。單位為(m³)-1或L-1;使用儀表K係數計算流量計示值誤差為A類,使用累計流量計算流量計示值誤差為B類;
③*大允許誤差:對給定的測量儀器、規範、規程等所允許的誤差*限值。
④引用誤差:測量儀器的誤差除以儀器的特定值(注:該特定值一般稱為引用值。例如:可以是測量儀器的量程或標稱範圍的上限)。
⑤*小二乘法:就是在精確度相等的許多測量值中求得*優概值(*佳值、*可信賴值)的方法,這時各測量值殘差的平方和應為*小。

2、流量計的數學模型
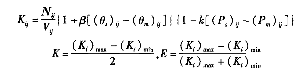
2.1 使用儀表係數k計算示值誤差的公式

式中,Ky為*i檢定點*j次檢定的係數,((m³)-1或L-1);Ny為*i檢定點*j次檢定時流量計顯示儀表測的脈衝數;Vy為*i檢定點*j次檢定是標準裝置測的的實際體積(m³或L);β為檢定用液體在檢定狀態下的體積膨脹係數;(θ,)y、(θm)y為*i檢定點*j次檢定時標準裝置和流量計處的液體密度;k為檢定用液體在檢定狀態下的壓縮係數;(Ps)y、(Pm)y為*i檢定點*j次檢定時標準裝置和流量計處的液體表壓力,(Pa)。
2.2 使用累計流量計算示值誤差的公式

式中,Ey為*i檢定點*j次檢定的相對示值誤差,(%);Vy為*i檢定點*j次檢定是標準裝置測的的實際體積(m³或L);(Va)y為*i檢定點*j次檢定時標準器換算到流量計處狀態的累計流量值(m³)。
*i檢定點被檢流量計的相對是指誤差按

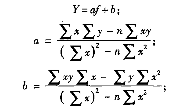
2.3 使用a、b值數據擬合計算引用誤差的公式
設流量計頻率f(Hz)為X,流量Q(L/s)為Y,即:

式中,n為測量點次數;Σx為x的代數和(*1點加至n點);Σy為y的代數和;(Σx)²為每點和平方(1點加至n點)²;Σxy為每點fx乘Qy之和;Σx²為fx每點平方和(n²加n²加至n²);
將計算出的、值代入公式Y=af+b中,和每個點相乘求出(理論值);再算出每個流量點實際值與理論值之差值;找出*大的值除以其流量上限,即引用誤差E=Q(理論值)-Q(實際值)/Q(*大)。
3、實驗數據、數據處理及分析
3.1 流量計相關技術信息說明
選用金湖91看片下载免费观看儀表有限公司的型號為KCLL-H10、編號為1037060的流量計。
3.2 流量計試驗及數據處理一覽表
數據說明:為了更直觀地探討流量計在合理選擇誤差評定的方法以及由此涉及儀表計量特性等具體因素的影響,故在表1和表2中均分別以航空RP-3號噴氣燃油(低黏度)、航空10號液壓油(中黏度)為檢定介質在相同的量程下檢定分別出2組數據;表1中誤差評定的計算公式來自JJG1037-2008《渦輪流量計檢定規程》(以下簡稱規程)中(1)~(4),得出示值誤差(線性度);表2中誤差評定的計算來自*小二乘法運算公式算出值進行數據擬合求出理論值,*後得出儀表的引用誤差。此計算公式來自為《規程》以外的誤差評定方法。


3.3 流量計實驗數據的分析探討
從表1數據中可以很直觀地看出;兩種檢定介質檢出的儀表示值誤差相差非常大,用燃油為檢定介質的數據儀表示值誤差為0.65%,而用液壓油為檢定檢定介質的儀表示值誤差為13%,這時因為流量計工作時渦輪旋轉力矩是與被測流體的密度ρ成正比,被測流量密度發生變化將會直接影響到作用在渦輪上的轉動力矩成比例的增減,所以當被測液體黏度大於15×10-6m²/s時,測量(示值)誤差就明顯增大,故流體黏度對流量計特性影響*大。這也就印證了速度式流量計隻適合低黏度介質測量工作。一般來說,流量計的口徑越大,黏度變化對流量計線性影響越小,反之,口徑越小則影響就越大。
從表2數據中也可很直觀地看出:數據采用*小二乘法為流量計誤差評定的方法,通過計算求得兩組a、b值,進行數據擬合,並得出相應的儀表引用誤差(計算公式取自2.3節);其中以燃油為檢定介質的儀表引用誤差為0.13%,液壓油為檢定檢定介質的儀表引用誤差為0.37%,流量計的精度等級有了明顯的提高。
通過對表1、表2兩組數據的分析探討,由此可以得出結論:無論此台流量計的使用介質是燃油(低黏度)還是液壓油(中黏度),*小二乘法的誤差評定方法都是此台流量計*佳(合理)的評定和使用方法。此外此種評定方法還彌補了流量計自身計量特性的不足,有效地實現了速度式流量計對中黏度介質的流量測量工作。
4、結束語
作為專業計量站的檢定人員,量值傳遞是主要工作,除此之外還有責任和義務要充分地運動好標準裝置等硬件設施,更好地提升實驗數據的使用和學術價值。通過以流量計的實驗數據為具體實例,對其在不同介質或相同介質的測量條件下,如何合理地運用、選擇誤差評定的方法等方麵做出了較詳實地論述,並提出了有依據的觀點,實際工作中作參考。
相關資訊
- 91看片儿免费看使用常見問題
- 91看片儿免费看的使用場合
- 91看片儿免费看怎麽接電
- 91看片儿免费看設置方法
- 91看片儿免费看類型有哪些
- 91看片儿免费看適用粘度
- 91看片儿免费看的用途
- 91看片儿免费看直管段安裝位置要求
- 91看片儿免费看有什麽作用
- 91看片儿免费看有顯示不計數
- 91看片儿免费看顯示零什麽故障
- 91看片儿免费看總數怎麽歸零
- 91看片儿免费看的接線方法
- 91看片儿免费看量程範圍
- 91看片儿免费看如何調參數
- 91看片儿免费看技術要求
- 91看片儿免费看測量不準確及解決辦法
- 91看片儿免费看規格型號
- 91看片儿免费看精度等級
- 91看片儿免费看的應用範圍
- 遠傳渦輪流量計接線圖
- 液體dn50渦輪流量計使用注意點
- 智能91看片儿免费看不走數
- 液體智能渦輪流量計安裝
- dn5091看片儿免费看在投產前及投產後應該注意的要求
- 低溫91看片儿免费看安裝要求
- lwgy91看片儿免费看參數設置
- 91看片儿免费看常見故障及處理方法
- 91看片儿免费看能區分氣體和液體嗎
- 液體和91看片网站下载的區別

