產品目錄
91看片儿免费看
液體流量計
91看片视频免费
油流量計
91看片网站下载
橢圓齒輪流量計
電磁流量計
渦街流量計
蒸汽流量計
孔板流量計
旋進旋渦流量計
熱式氣體質量流量計
轉子流量計
浮子流量計
靶式流量計
氣體流量計
超聲波流量計
磁翻板液位計
浮子液位計
浮球液位計
玻璃管液位計
雷達液位計
超聲波液位計
投入式液位計
壓力變送器
差壓變送器
液位變送器
溫度變送器
熱電偶
熱電阻
雙金屬溫度計
推薦產品
聯係91看片下载免费观看
- 金湖91看片下载免费观看儀表有限公司
- 聯係電話:15195518515
- 在線客服:1464856260
- 電話:0517-86801009
- 傳真號碼:0517-86801007
- 郵箱:1464856260@qq.com
- 網址:http://www.zhongtaijixie.net
- 地址:江蘇省金湖縣理士大道61號
對渦輪流量計內的三維湍流流動進行仿真分析
發布時間:2020-11-26 07:58:34 點擊次數:2220次
摘要:利用數值計算的方法對渦輪流量計內的三維湍流流動進行建模和基於N-S方程的仿真分析。數值計算采用k-ε模型來模擬湍流流動,得到渦輪流量計的內部流場三維流動形態,並分析其內部的流動規律、流速和壓力分布;以三維湍流仿真的仿真結果為依據,對前導流器進行了優化。結果表明:流線型前導流器能降低整個流量計的壓損。
電池供電渦輪流量計是速度式流量計的一種,其測量準確度高,複現性和穩定性均好,量程範圍寬,量程比可達(10~20):1,線性好,耐高壓,壓力高,壓力損失小,對流量變化反應迅速,因此它被廣泛應用於石油、化工、電力、工業鍋爐、燃氣調壓站、輸配線管網天然氣、城市天然氣管網等領域,並已被廣泛應用於貿易計算。91看片网站下载的氣體流動是*其複雜且非穩態的,若通過單純的經驗公式理論分析與流量計性能試驗研究的常規方法確定其設計參數,難以得到理想的效果。流量計內部流場的流動狀況直接決定流量計的性能,因此了解渦輪流量計內部流場可以改良和研製高性能渦輪流量計產品。國外很早就進行了仿真研究,國內專家也進行了理論和實驗研究。通過CFD仿真研究了切線型渦輪流量計;利用數值模擬研究液體粘度對渦輪流量計的影響,利用Fluent對渦輪流量計的流場進行模擬,分析獲得壓力場和速度場,全麵了解流量計的流場情況,得出指導性和方向性的結果,可以幫助選擇性能*佳的方案。本文通過Fluent模擬91看片网站下载的內部流動,分析其內部的流動現象,獲得流量計內部的速度場和壓力場,並對前導向器進行優化。
1、渦輪流量計的原理
渦輪流量計主要由殼體、前後導流器、葉輪組件、磁電感應轉換器等組成,其原理如圖1所示。當被測流體通過流量計時,流體通過導流器衝擊渦輪葉片,由於渦輪葉片與流體流向間有一傾角θ,流體衝擊力對渦輪產生轉動力矩,使渦輪克服機械摩擦阻力矩和流動阻力矩而轉動;在力矩平衡後轉速穩定,渦輪的旋轉角轉速與通過渦輪的流量成正比;渦輪轉動時,使通過線圈的磁通量發生周期性的變化而產生與流量成正比的脈衝信號。

2、計算方法與模型選擇簡化
2.1仿真模型建立與網格劃分
根據實際情況,本文選擇普通的DN15091看片网站下载為研究對象。為了消除渦輪流量計入口的脈動流,在流量計的入口加了0.5倍長度的直管段,出口也加了1倍長度的直管段。按照仿真模型的結構特點,采用分塊建模的方法,將模型域分為前導流件、葉輪、支架、後導流件及前後直管段等6部分。流量計參數如表1所示。

根據計算域的複雜程度,前、後導流件及葉輪旋轉區域采用四麵體非結構化網格,網格數為370 000。支架及前後直管段采用結構化的六麵體網格,以節約計算資源,網格數為350 000。網格劃分如圖2所示。

2.2湍流模型的選擇與簡化
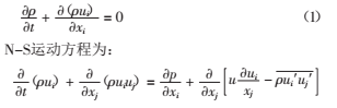
本研究基於的控製方程為粘性、不可壓縮的N-S方程。
連續性方程為:


湍流模型采用Reynolds Stress模型不收斂,采用Spalart-Allmaras精度不夠,故湍流模型采用標準的k-ε
模型進行仿真。連續性條件通過壓力修正得到滿足。方程的求解方法采用SIMPLE算法,方程離散過程中采用二階迎風格式離散。
針對91看片网站下载的流動特點,對模型做如下簡化:由於本文入口邊界為速度入口且入口速度都小於50m/s,速度的變化對氣體的密度影響很小,因此假定為不可壓縮流動;將葉輪旋轉部分設定為相對旋轉坐標係後,流動為定常。仿真過程邊界條件選擇如下。
入口邊界條件:雖不知道壓力條件但能容易得到入口速度,故選擇速度入口為:

式中:r為管道半徑;qv為不同流量點的流量;u為對應流量點的管道平均流量。給定流量點500m3/h,入口速度為7.86m/s。
出口邊界條件:自由出流,其他邊界均為壁麵。采用Fluent中的MRF(多參考係)模型,給定葉輪的旋轉角速度進行計算。數值仿真的介質為室溫下的空氣。
3、仿真結果及分析
3.1速度場分析
(1)速度場沿軸線的分布中心線剖麵速度分布如圖3所示。

由圖3可以看到,渦輪流量計內部的速度場近似於中心軸線上下對稱,前導流器圓弧型端部中間部分速度明顯減小,靠近管壁速度增大。氣體進入前導流器後,由於球麵中間部分的阻擋,導致靠近圓弧麵速度減小,且圓弧麵的存在使流動的橫截麵積減小,環形通道的流速加快。
(2)葉輪進出口截麵上的速度分布葉輪進出口截麵上的速度分布分別如圖4和圖5所示。

從圖4可以看出,在葉輪的入口截麵上,速度軸對稱分布,這是由於所有葉片形狀完全相同且成中心對稱分布,以及前導流器成中心對稱並與葉輪葉片數相同,氣流流經葉片時會與葉片迎流麵發生碰撞而使得氣流速度減小,而背流麵氣流由於截麵減小從而使氣流加速。對比圖4和圖5可以看出,速度場結構非常相似,後者的速度大小明顯增大。這主要是因為旋轉的葉輪對氣流的牽連作用使得圓周方向的速度加大。
3.2壓力場分布
中心縱剖麵壓力分布如圖6所示。葉輪進出口壓力分布如圖7、圖8所示。
從圖6可以看出,流道的內部壓力逐漸減小。其中,前導流器球麵壓損大,環形通道幾乎無壓力損失。其餘部分壓力分布比較均勻。
由圖7、圖8可知,葉片迎流麵上為高壓區域;沿著流動方向壓力逐漸降低;葉片壓力麵上為低壓區域,沿著流動方向壓力逐漸增加。在葉片的入口截麵上葉片前緣有明顯的壓力過渡,這些均說明葉片迎流麵形狀對葉輪旋轉特性有影響。葉片前緣壓力較高,這是因為氣流在流動時,*先與葉片迎流麵的前緣發生碰撞,做功較大的緣故。葉片後緣壓力也較高,是因為受邊界層的影響。


4、優化後的流場
分析91看片网站下载的內流場後,發現前導流器的結構對流量計的壓損影響*大,為減小入口氣流對前導向器中心體的碰撞影響,降低進口的壓力損失,對前導向器做如下改進:將圓弧型前導流器改為流線型。通過對圖中的模型重新進行流態仿真,優化後渦輪流量計內部流場較優化前更加均勻穩定。改進前後中心剖麵壓力等值線分布如圖9、圖10所示。
http://www.jskmyb.com/uploads/20170923/9.png
從圖9、圖10中可以看出,改進後前導向器的壓力損失更均勻(梯度較小),並使其後各部分的壓損減小,從而降低了渦輪流量計整體的壓損。
5、結束語
為研究渦輪流量計測量過程的流態分布,本文優化了內部流道,得到壓力損失小的渦輪流量計。通過對原型渦輪流量計內部氣體流動規律的分析,得知前導向器的壓力損失不均勻(壓力梯度很大),可以將圓弧型前導向器改為流線形前導向器,降低渦輪流量計的總壓損,從而實現了渦輪流量計的氣流通道的優化設計。
相關資訊
- 91看片网站下载安裝直管段要求
- 91看片网站下载的結構與工作原理
- 91看片网站下载的產品特點和適用範圍
- 91看片网站下载選型指南與外形尺寸
- 渦輪流量計的常見故障及排除
- 渦輪流量表怎麽調節
- 渦輪流量計安裝直管段要求
- 渦輪流量計的適用場合與量程範圍
- 渦輪流量計由什麽組成
- 渦輪流量計的工作原理
- 壓力對渦輪流量計精度的影響
- 91看片儿免费看使用常見問題
- 91看片儿免费看的使用場合
- 91看片儿免费看怎麽接電
- 渦輪流量計的使用範圍
- 渦輪流量計安裝條件與環境要求
- 渦輪流量計安裝在什麽位置
- 91看片儿免费看設置方法
- 91看片网站下载使用環境
- 91看片网站下载使用注意事項
- 91看片网站下载怎麽清洗
- 91看片网站下载適用範圍
- 91看片网站下载為什麽要加油
- 91看片网站下载波動大解決辦法
- 91看片网站下载安裝距離要求
- 91看片网站下载安裝注意事項
- 91看片网站下载應用範圍
- 91看片网站下载常見故障有哪些
- 提高91看片网站下载精度的方法
- 91看片网站下载精度等級

