產品目錄
91看片儿免费看
液體流量計
91看片视频免费
油流量計
91看片网站下载
橢圓齒輪流量計
電磁流量計
渦街流量計
蒸汽流量計
孔板流量計
旋進旋渦流量計
熱式氣體質量流量計
轉子流量計
浮子流量計
靶式流量計
氣體流量計
超聲波流量計
磁翻板液位計
浮子液位計
浮球液位計
玻璃管液位計
雷達液位計
超聲波液位計
投入式液位計
壓力變送器
差壓變送器
液位變送器
溫度變送器
熱電偶
熱電阻
雙金屬溫度計
推薦產品
聯係91看片下载免费观看
- 金湖91看片下载免费观看儀表有限公司
- 聯係電話:15195518515
- 在線客服:1464856260
- 電話:0517-86801009
- 傳真號碼:0517-86801007
- 郵箱:1464856260@qq.com
- 網址:http://www.zhongtaijixie.net
- 地址:江蘇省金湖縣理士大道61號
脈動流測量方法及對渦輪流量計測量誤差的影響
發布時間:2020-08-29 07:26:35 點擊次數:3649次
所謂脈動流是指流體在測量區域的流速是時間的函數,但在一個足夠長的時間段內有一個恒定的平均值,這個值取決於脈動流的流動規律。
真正的管道定常流隻在層流中出現,通常其Re<2000,大多數工業管流均有較高的Re數,且出現湍流現象。這些流體通常在速度、壓力和溫度上出現連續的、無規則的、隨機的波動。導致波動產生的原因有多種,可因旋轉動力機械 ,如旋轉或往複式發動機、壓縮機和鼓風機造成,可由工作管道的振動,特別是共振造成,也可由流量控製器的周期性動作和調節器的往複開關及流體管道裝置、閥或旋轉機械分流造成,還可因流體係統的幾何特征而引起的流體力學振動和多段流而引起。
脈動流的存在會導致流量計出現計量誤差,甚至不能正常工作,其中尤以差壓式流量計、渦輪流量計和渦街流量計對其*為敏感。如何校正或減少脈動對流量測量特性的影響,是流量測量中比較重要的課題。
1、脈動流特性參數的主要測量方法
脈動無處無時不在,但測量卻非常困難,直接測量脈動流幾乎是不可能的,91看片下载免费观看通常測量出脈動流的主要參數,如幅值、頻率和波形,然後通過這些參數分析脈動可能給流量計造成的影響。通常主要的測量方法有非接觸方法和接觸方法。
非接觸方法包括光學方法和聲學方法。光學方法主要采用LDA,此技術可測出管軸線處的點速度,並對脈動流振幅和波形作出估算,聲學方法主要采用Doppler Shift,該技術僅用於液體,其傳送器和接受器安裝在管道外壁,可據其測得的充分發展的瞬時速度剖麵精確計算其脈動特性。接觸方法主要是熱線風速儀法,可用來測量脈動點速度,它具有足夠的測量頻寬,可采用在線計算機顯示流速的*大脈動量。
2、脈動流對渦輪流量計測量誤差的影響
2.1誤差方程及其計算
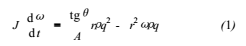
渦輪流量計以動量矩守恒原理為基礎,是一種速度式流量儀表。對非穩定流,由於轉子葉片和相關傳動裝置的共振、轉子的轉動慣量、脈動流的形狀、轉子和齒輪的摩擦阻力及轉子瞬時轉矩等諸多因素的影響,會使渦輪流量計產生很大的誤差。應用機翼理論來分析作用在轉子上的驅動力矩和阻力矩,可得到其運動方程:

式中:J為葉片轉動慣量;θ為葉片與軸線之間的夾角;r為渦輪葉片的平均半徑;A為管道流道麵積;ρ為流體密度;ω為渦輪的旋轉角速度;q為通過管道的流量。
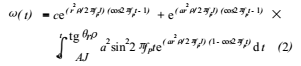
若把脈動流表示為q=asin2πfpt,經分析整理,可得出渦輪旋轉加速度與脈動流各參數的關係:

式中:c為穩態時的ω值。此時其測量誤差可用下式表示:

對特定的渦輪流量計和不同的脈動流,可編程計算出式(2)在脈動周期內各離散點所對應的ω(t),據此可計算出渦輪流量計測量誤差E。其流程圖如圖1所示。

2.2結果與分析
經過計算分析,發現導致渦輪流量計產生誤差的主要因素是脈動流的振幅和頻率,通過對多幅圖形的比較,發現有如下規律:
①從曲線分布的象限來看,脈動流導致渦輪流量計出現一個正誤差。當流體出現脈動時,在加速流體中,葉片的轉動慣量能引起轉子速度變慢,落後於定常流時的轉速;在減速流體中,葉片的轉動慣量能導致轉子速度加快,超過定常流時的轉速。由於加速時的影響比減速時的影響小得多,因此,脈動流出現時流量計顯示的平均流速遠大於平均流量,出現正誤差,此誤差有時*大可達50%。
②當脈動頻率fp小於渦輪轉子的角頻率ω時,測量結果接近真值,脈動流所引起的誤差很小。當脈動頻率fp大於渦輪轉子的角頻率ω時,響應失真,會引起較大誤差,且隨著頻率的增大,誤差隨著增大,*終趨於穩定(見圖2和圖3)。

③當脈動頻率大於渦輪轉子的角加速度時,脈動振幅的變化能引起渦輪流量計的測量誤差產生大的改變,此誤差隨著脈動振幅的增大而升高,*大可達50%,但*終趨於穩定。(見圖4和圖5,α為脈動振幅與穩態振幅之比)。

3、結論
從以上分析計算可知,脈動流使渦輪流量計產生一個正的係統誤差,該誤差受脈動頻率和振幅的影響。當脈動頻率小於角加速度時,其誤差可以認為為零;當脈動振幅小於某一振幅值時,其誤差亦可認為不影響渦輪流量計的精度。脈動流對渦輪流量計測量精度的影響存在*限值。
相關資訊
- 91看片网站下载安裝直管段要求
- 91看片网站下载的結構與工作原理
- 91看片网站下载的產品特點和適用範圍
- 91看片网站下载選型指南與外形尺寸
- 渦輪流量計的常見故障及排除
- 渦輪流量表怎麽調節
- 渦輪流量計安裝直管段要求
- 渦輪流量計的適用場合與量程範圍
- 渦輪流量計由什麽組成
- 渦輪流量計的工作原理
- 壓力對渦輪流量計精度的影響
- 91看片儿免费看使用常見問題
- 91看片儿免费看的使用場合
- 91看片儿免费看怎麽接電
- 渦輪流量計的使用範圍
- 渦輪流量計安裝條件與環境要求
- 渦輪流量計安裝在什麽位置
- 91看片儿免费看設置方法
- 91看片网站下载使用環境
- 91看片网站下载使用注意事項
- 91看片网站下载怎麽清洗
- 91看片网站下载適用範圍
- 91看片网站下载為什麽要加油
- 91看片网站下载波動大解決辦法
- 91看片网站下载安裝距離要求
- 91看片网站下载安裝注意事項
- 91看片网站下载應用範圍
- 91看片网站下载常見故障有哪些
- 提高91看片网站下载精度的方法
- 91看片网站下载精度等級

